
消费者安全 数据安全审计 企业合规师 备案登记 劳动用工合规管理 知识产权合规 个人信息与隐私权保护 企业廉洁合规 经营合规 风险提示与预警信息 IPO合规 安全生产合规管理 企业合规典型案例 合同合规管理 企业合规实务 企业数据合规 企业刑事合规
网络犯罪 人工智能合规 网络安全 新基建安全资讯 保密科技 数据合规 元宇宙合规 数字合规 网络与数据法学 电信网络诈骗 区块链合规 信息与网络安全 网络不正当竞争 数字贸易合规 数据出境合规 互联网合规
上市公司合规管理 税务合规 企业合规管理 商业秘密 财务合规 商业合规 内控资讯 合同法律 信息披露风险 公司法实务 人力资源合规 信用规制 知识产权合规 合规尽职调查 内控稽查 内部控制和风险管理合规 会计监管风险 税务异常处理 税务检查应对
征信合规 涉税合规 经济犯罪案例 合规文化主题月 劳动与人力资源合规 合规运行报告 网络直播合规 信用合规 刑事合规管理 工程合规与舞弊调查 涉案企业合规 安全审计 合规科技 劳务派遣合规 采购合规 财务风控 招投标合规
国际注册合规师 公司治理与公司合规 全球金融监管动态月刊 境外合规专项行动 国企合规 反不正当竞争合规管理 出口退税合规风险 全球反垄断 全球企业合规事务 国际监管合规服务 合规风险 进出口管制和贸易制裁 境外投资和“一带一路” 跨境投资和经营合规 知识产权内部控制 商业贿赂 外汇合规 合规与诚信
证券合规 银行合规 金融犯罪合规 保险合规 金融消费者保护 银保监督 私募合规 互联网金融合规 银行合规资讯 投融资合规 支付 银行合规综合 金融安全 信托合规 担保合规 金融合规 信用合规 股权合规 内保外贷合规 外汇合规 保理合规
在疫情冲击和国外技术封锁及经济制裁的双重压力下,恢复经济秩序、激发市场活力、打破技术垄断已成为政府和社会亟待解决的问题,而创新是稳经济之策,是促进经济增长和突破技术封锁的关键[1]。知识密集型企业作为中国创新最活跃的微观主体,对技术专利的依赖程度远高于其他生产要素,然而大量的创新投入和频繁的创新活动,让企业时刻处于高风险状态,严重影响决策的准确性和创新的可持续性。因此,为了有效开展创新活动,企业需要监督管理机制,为创新提供稳定的内部环境,而内部控制作为治理体系中的风险控制机制[2],可以保障创新项目的顺利实施。部分管理者认为建立内部控制体系会控制企业所有高风险活动,其中包括创新活动,因而企业为了提高创新会放缓内部控制体系的建设。但现实情况是企业内部控制水平不断提高,创新能力也会不断增长,两者并没有产生冲突。在此背景下,厘清内部控制与企业创新之间的关系,具有重要的现实意义。
已有文献对两者关系的研究存在分歧。有学者发现内部控制让企业风险防御态度更强,风险承担热情丧失,抑制创新活动[3,4]。张会丽等认为企业出于预防性动机需要保持现金流,导致创新活动缺少资金[5];倪娟等发现内部控制水平较高不利于管理层能力充分发挥,导致很多创新项目中断[6]。但从作用逻辑来看,企业内部控制制度服务于企业战略目标,中国内部控制指引对创新驱动发展战略具有支撑作用[7]。Dey证实了内部控制保障企业创新战略的实现[8];王亚男等发现内部控制提高企业信息披露质量,能有效缓解代理成本从而促进创新[9];周雪峰等认为内部控制能替代金融关联对企业创新的促进作用[10];顾海峰等发现内部控制能够抑制管理层在职消费,提高企业的创新能力[11]。整理文献发现:首先,现有关于创新的研究仅考虑单一方面,没有详细区分创新的不同阶段,本文借鉴沈宏婷等[12]区域创新研究框架,认为企业创新与区域创新有相似性,从创新投入、产出和效率能衡量企业综合创新能力;其次,现有研究均认为内部控制与企业创新呈线性关系,但内部控制的建立和实施是一个漫长的过程,在此过程中内部控制治理效果由弱变强,所以内部控制对企业创新的线性影响不符合企业实际管理情况。基于此,本文尝试探讨两者之间的非线性关系,完善和补充现有研究结论。
创新活动仅依靠企业自有资金是无法长期支撑的,所以企业需要从外部进行融资以保证创新活动的持续性。由于中国金融市场发展不成熟,银行仍处于金融市场主导地位,因此银行贷款是企业创新活动主要资金来源[13]。根据投融资期限匹配原则,资金的使用周期应该与项目的预计完成期限相同,具有长周期特点的创新活动需要长期信贷满足资金的持续供给,但由于银行审批严、长期信贷利息高以及使用不便利等原因,企业更倾向使用短期贷款匹配创新活动,投融资期限错配现象严重[14]。如果企业没有足够资金偿还债务,且银行不予续借,则会面临财务危机,影响创新的可持续性[15]。关于投融资期限错配,缓解机制的研究主要集中在货币政策、资本市场和银行竞争等外部视角,而对于内部治理机制的研究较少,内部控制作为重要的内部治理机制,是否能有效缓解投融资期限错配进而提升创新有待验证。除上述原因外,企业投融资期限错配还可能受管理层短视主义影响,在“理性人”假设下,管理层会考虑期限错配潜在的风险,而行为经济学认为主体决策会更倾向于个人利益,所以期限错配所带来的短期效益是引起管理层短视主义的动机。因此,在不同管理层短视主义程度下,投融资期限错配的中介效应可能存在差异。
本文选取2014—2020 年知识产权密集型企业为样本,考察内部控制对企业创新的非线性影响,并进一步研究其作用渠道、作用机制和异质性。本文的边际贡献体现在:第一,综合现有文献提出非线性关系,以完善现有研究结论,并对两者之间关系做出更准确的回答。第二,将创新投入、产出和效率纳入同一研究框架,更全面地阐述内部控制对企业创新的综合影响效果,补充内部控制经济后果的研究。第三,从投融资期限错配视角,考察内部控制对企业创新的作用渠道,丰富现有作用渠道的研究视角。同时基于管理层短视主义视角,考察中介效应的调节作用,为企业投融资决策提供理论依据。
通过文献的梳理,可以发现内部控制对企业创新结论并不统一,本节试图厘清内部控制与创新之间的非线性关系。
创新高风险、长周期和高投入等特点是结论不统一的原因。对创新投入来说,内部控制初期建立和提升需要投入大量的资金,同时创新投入短期内无法获得高额收益,导致管理层更倾向投资高收益项目,致使创新投入不足[16];内部控制逐渐成熟后,资金投入量下降,对高收益投资项目的审核更严格,且获取外部资金途径更丰富[17],促进创新投入增加。对创新产出来说,创新需要足够风险空间[18],内部控制在较低水平时,风险识别能力和控制能力不强,潜在风险较高的项目被审批通过,而后续可行性较高的创新项目因缺乏足够风险空间而被放弃;提高内部控制后风险识别能力更强,同时能较好地控制现有高风险项目,为创新项目的审批提供足够风险空间,有利于创新产出[19]。对创新效率来说,企业需要高效利用有限的资源获得更多创新产出。内部控制初期阶段,资金管理监督不严,创新资金容易被挪用而引发资金链断裂问题,导致创新活动中断;企业提高内部控制后,资金监管更严格,能较好地约束管理层自利行为,同时较高的内部控制水平能缓解信息不对称问题,增强部门之间沟通协调能力,优化创新资源配置[20],扩大政府资金支持力度,提升创新效率[21]。综上,提出以下假设——H1:内部控制与企业的创新投入、产出和效率存在正U 型关系。
投融资资金错配现象可能让企业陷入经营危机和财务困境,而内部控制作为内部风险控制机制,从以下三个方面抑制投融资期限错配:第一,内部控制具有风险评估和风险识别作用,当企业过多地进行投融资期限错配,会引发企业潜在的财务风险和信用风险,而内部控制能够有效地识别风险的存在,约束投融资期限错配。第二,内部控制的会计系统控制制度能够保障会计信息的准确性和可靠性,向外部利益相关者传递财务信息真实良好信号,减少契约双方的信息不对称,拓宽企业融资渠道[22],有利于抑制投融资期限错配。第三,内部控制的财产保护制度能有效地防止财产流失和浪费,提高资金财产的管理效率,同时运营分析控制措施对企业的筹资能力、偿债能力和营运能力进行有效的判断和预测,增加管理层投融资决策的科学性和合理性,优化资金期限结构[23],保障资金使用期限与项目完成期限相匹配,降低错配行为发生的可能性。基于此,提出假设——H2:内部控制与投融资期限错配存在负相关关系。
从创新投入视角,企业使用短期借款进行长期投资,可能是由于企业没有长期贷款与之匹配的无奈选择,间接说明企业的资质不符合长期贷款申请要求。如果企业依赖不断滚动的短期贷款去支持创新投入,会导致企业存在债务违约风险[24],外部融资门槛和融资成本不断提高,无法持续支撑创新投入。从创新产出视角,企业利用短期贷款匹配创新长期活动,需要不断地向融资机构申请新的短期贷款,频繁的短期贷款会导致企业面临高昂的谈判成本和额外运营成本,进一步放大企业的偿债压力。因此,审计师重点关注企业存在高风险审计事项,导致管理层更倾向短期投资项目而放弃创新,不利于创新产出。从创新效率视角,短期贷款的还款周期更短,将更多的短期贷款匹配长期创新活动意味着需要不断地偿还短期贷款,频繁地还本付息将打乱企业原有的资金期限配置计划,降低资金配置效率,甚至影响企业正常的生产活动和资金需求,增加企业潜在的经营风险,不利于创新效率提升。因此,提出假设——H3:投融资期限错配与创新投入、产出和效率均存在负相关关系。
内部控制通过抑制投融资期限错配行为影响企业创新,减少投融资期限错配对创新的负面作用。从风险角度,提高内部控制能够控制投融资期限错配产生的财务风险和经营风险,为创新提供足够的风险空间。从融资角度,资金是创新活动的重要保障,提高内部控制能拓宽企业融资渠道,提高企业资金使用效率和偿债能力,减少期限错配现象,保障创新资金供给。从股东视角,内部控制能降低代理成本,提高企业信息透明度[25],通过监督制度约束管理层投融资期限错配行为,保证创新活动的可持续性与创新资源利用率。因此,提出假设——H4:投融资期限错配在内部控制与企业创新中存在部分中介效应。
根据高层梯队理论,存在短视的管理层在行为决策和战略选择时,更倾向选择期限短、风险低的投资项目[26],最大化短期财务业绩,而忽视企业长远发展。这与创新活动的长周期和高风险等特点相矛盾,故短视主义会导致管理层创新意愿不强,错失创新时机,不利于创新活动的可持续性。如果内部控制存在缺陷或对创新的监管不足,管理层会优先弥补缺陷,加强对企业的监管,而存在短视主义的管理层则会低估缺陷带来的负面影响[27],使内控制度失效。因此,管理层的短视主义越强,越会削弱内部控制对企业创新的促进作用。短视主义使管理层容易出现自利行为,通过私下的盈余操纵和违规操作提高绩效表现,造成更严重的信息不对称问题,监管难度和监督成本上升,削弱内部控制对投融资期限错配的抑制作用。短视主义会影响管理层决策的准确性和科学性,打乱原有创新计划和资金配置方式,造成更多期限错配问题的发生,影响企业投资方向和投资规模,减少研发方面的投资,不重视创新人员的培养,强化投融资期限错配对创新的抑制作用。综合上述分析,提出以下假设——H5:短视主义在内部控制与企业创新之间存在负向调节效应,即管理层短视主义越强,内部控制对企业创新促进作用越小;H6:短视主义在内部控制与投融资期限错配之间存在负向调节效应,即管理层短视主义越强,内部控制对投融资期限错配抑制作用越小;H7:短视主义在投融资期限错配与企业创新之间存在正向调节效应,即管理层短视主义越强,投融资期限错配对创新的抑制作用越大。

图1 理论框架
Figure 1 Theoretical framework
根据国务院2019 年对知识产权密集型产业的最新统计分类,选取2014—2020 年知识产权密集型企业为初始样本,剔除ST、金融业和缺少关键数据的样本,并采用99%、1%的分位数缩尾处理,最终共获得4 641 个观察样本,构成平衡面板。财务相关数据来源于CSMAR与WIND数据库,内部控制数据源于迪博数据库。
企业创新:本文从创新投入、产出和效率3 个方面构建企业创新研究框架。创新投入用年度研发投入占总资产的比例来衡量;创新产出借鉴权小锋等[28]将企业每年3 种类型专利按照3 ∶2 ∶1 的权重取值得到总申请量,然后总申请量加1 取自然对数得到创新产出成果;创新效率参考孔东民等[29]使用创新成果与创新投入的比值作为衡量方法,此比值的分子为前文的创新产出成果,分母为研发支出加1的自然对数。具体计算公式(1)如下:
内部控制:目前更多的学者使用迪博数据库披露的内部控制指数来综合评价内部控制,该指数对企业内部控制五大要素结构进行综合评分。为方便研究,本文将该指数进行自然对数处理。
投融资期限错配:该现象主要是企业利用短期贷款进行长期投资,本文借鉴刘晓光等[30]使用企业短期负债比例与短期资产比例的差值作为衡量指标,该指标越大说明投融资期限错配程度越高。
管理层短视主义:语言反映人的特质,通过对研究对象语言的使用频率可以描述人的性格特点。本文借鉴胡楠等[31]使用MD&A 公司年报,通过文本分析和机器学习方法确定“短视领域”的中文词集,随后通过词典法构建管理层短视主义指标,该指标能有效捕捉管理层的短视主义。
控制变量:参照以往文献研究,本文选取资产负债率、总资产收益率、现金流比率、固定资产比例、股权集中度、机构投资者持股比例、管理层持股比例、账面市值比,共8 个指标作为控制变量,同时控制年份固定效应和行业固定效应(表1)。
表1 变量定义表
Table 1 Definition of variables

(续表1)

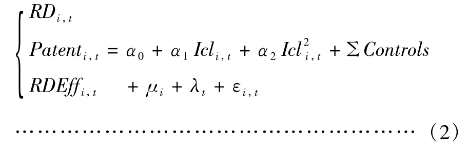
为验证知识产权密集型企业内部控制与创新之间是否存在U型关系,要研究建立非线性回归模型(2)如下:

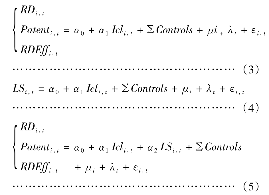
为验证假设H2—H4,建立中介线性回归模型(3)—(5),检验投融资期限错配中介效应,计算公式为:

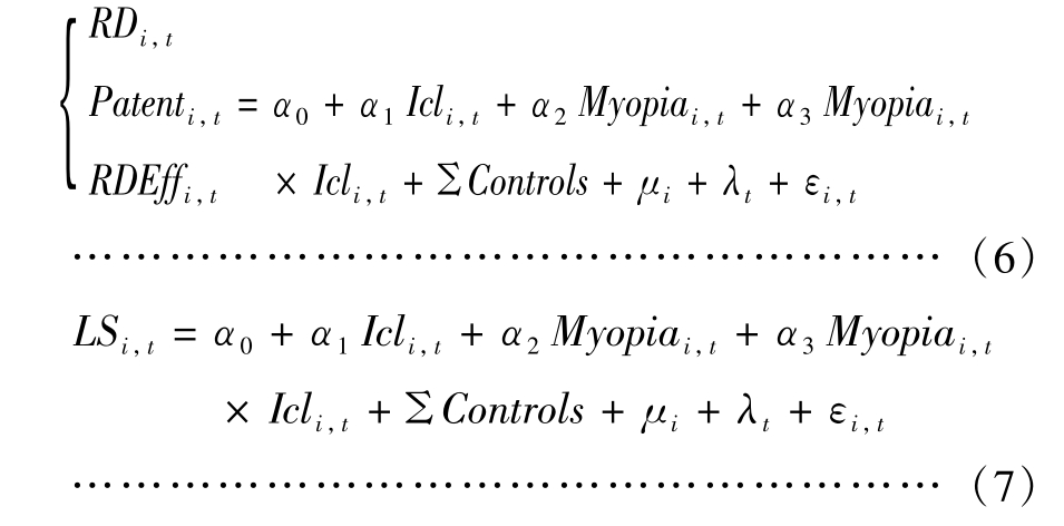
为验证假设H5—H7,借鉴已有研究[31]构建有调节的中介效应模型(6)—(8),验证管理层短视主义对企业投融资期限错配中介效应的调节作用,计算公式为:


主要变量的描述统计情况如表2 所示。
表2 描述性统计
Table 2 Descriptive statistics

内部控制指标Icl 均值为6.48 与中位数6.49接近,且标准差较低,表明知识产权密集型企业内部控制总体水平较高,少部分企业处于较低水平,创新投入指标RD 均值为0.03,最高值为0.11,最低值为0.000 1,表明整体创新投入较低,仍有较高的提升空间。创新产出指标Patent 均值是4.52,最大值为7.88,最小值为0.693,呈“中间多,两边少”分布。创新效率指标RDEff 均值为0.24,最大值0.38,最小值0.04,整体创新效率的差异性较大,与创新产出分布相似。投融资期限错配与管理层短视主义均值分别为0.272 5 和0.072 9,标准差与均值接近,说明企业普遍存在期限错配和短视主义,说明期限错配是短视主义的动因,且不同企业差异性较大。
基于创新不同阶段,验证内部控制对企业创新的影响,并控制时间效应和行业效应,结果如表3 所示。回归(1)—(3)Icl 系数均在1%的水平显著负相关,Icl2 系数均在1%的水平显著正相关,一次项与二次项系数相反,加入控制变量后回归(4)—(6)系数符号和显著性没有改变,说明内部控制与企业创新存在正U 型关系,假设H1c成立。比较不同被解释变量模型,控制变量的系数方向和显著性基本相同,均符合管理学判断。股权越集中、固定资产比例越高的企业越倾向发展现有业务,阻碍企业进行创新活动,而管理层持股比例越高或机构投资者持股越多越倾向企业通过创新获得长期核心竞争力。提高企业的绩效和经营性现金流同样可以促进创新。U型曲线的拐点和左右系数符合正U 型关系假设。内部控制低于拐点时,内部控制会抑制创新投入、产出和效率,超过拐点后抑制作用转为促进作用。
表3 基准回归结果
Table 3 Baseline regression results

(续表3)

注:括号中的数字为双尾检验的T 值,***、**和*分别表示在1%、5%和10%的显著性水平。
由于企业创新和内部控制可能存在反向因果关系,创新水平高的企业可能会加强内部控制,故本文使用工具变量解决内生性问题。将杨道广等内部控制的行业—年度均值[7]作为工具变量,企业所在行业的内部控制均值与其内部控制有较高的相关性,且企业的创新更多地受内部因素影响,与行业内部控制均值无关,符合工具变量的相关性与外生性。
根据工具变量相关性检验,内部控制及其二次项为内生变量,使用行业—年度均值(Meanicl)及其二次项(Meanicl2)作为对应的工具变量,回归结果如表4 所示。第一阶段的系数均显著且F 统计量大于10,说明工具变量与内生变量有较强的相关性,Kleibergen- Paaprk Wald F 和Cragg—Donald Wald F统计量分别为20.785 和14.47 在1%水平显著,通过弱工具变量检验和外生性检验。由表5 可知,减少内生性的干扰后,内部控制对企业创新投入、创新产出和创新效率存在的正U型关系依然成立。
表4 内生性检验
Table 4 Endogeneity test

为验证结论的稳健性,本文借鉴Haans 等的方法[33],将内部控制三次项(Icl3)放入回归模型后,Icl3 并不显著,一次项和二次项的系数方向并未改变,说明没有更复杂的非线性关系。由于内部控制的影响可能存在滞后性,即内部控制产生的影响会在下一年体现出来,所以将被解释变量滞后一期,判断结论是否发生改变。表5 中回归(1)—(3)为被解释变量滞后一期的结果,结果表明Icl 和Icl2 系数方向未改变,且系数显著,结论支持正U 型非线性关系。本文还通过替换被解释变量测度方法进一步检验核心变量关系,用研发投入的自然对数作为RD指标;用专利总申请量加1 的自然对数作为Patent指标;创新效率指标用前两者比值替代。由表5 回归(4)—(6)检验结果可知,一次项与二次项系数相反且均在1%水平显著,与前文的实证结论一致。
表5 稳健性检验
Table 5 Robustness test

投融资期限错配中介效应的回归结果如表6 所示。由表6 可知,虽然内部控制与企业创新存在正U型关系,但根据其拐点判断,大多数企业内部控制水平已处于拐点右侧,即继续提升内部控制对企业创新仅存在线性促进关系。结合前文发现,投融资期限错配中介效应属于线性中介,无法支撑研究非线性中介效应问题。同时,利用非线性中介效应模型探究投融资期限错配扮演的角色,结果并不显著,理论和实践均表明投融资期限错配不存在非线性中介效应。回归(4)Icl 与LS 在5%水平显著负相关,说明内部控制抑制投融资期限错配,验证假设H2。回归(5)—(7)LS 系数均为负且显著,说明投融资期限错配会抑制企业创新投入、产出和效率,验证假设H3。回归(1)—(7)构成投融资期限错配线性中介效应模型,Icl 和LS 系数均显著,表明投融资期限错配存在部分中介效应,即内部控制通过抑制投融资期限错配行为,促进企业创新,验证假设H4。
表6 投融资期限错配中介效应
Table 6 The mediating effect of maturity mismatch of investment and financing

管理层短视主义调节作用检验结果如表7 所示。表7 中回归(1)—(3)Icl × Myopia 系数显著为负,且与Icl 系数符号相反,表明内部控制与企业创新的正向关系随短视主义的增加而显著降低,说明管理层存在短视主义会忽视内部控制体系,更多关注企业的短期效益,减少创新投资,假设H5 成立。由回归(4)可知,Icl × Capex 系数在10%水平显著为正,与Icl 系数符号相反,证明内部控制与投融资期限错配的负向关系随着管理层短视主义的增加而显著减弱,短视主义会增加企业监督负担,造成原有监督体系的失效,产生信息不对称问题,验证假设H6。回归(5)—(7)的LS × Capex 系数与LS 系数均显著,且符号方向一致,说明管理层短视主义越高,越会强化投融资期限错配对企业创新的抑制作用,符合短视主义的特征,管理层更倾向于短期效益大的投资项目,而放弃具有长周期效益的创新投资活动,假设H7 成立。
表7 管理层短视主义调节效应
Table 7 The moderating effect of management myopia

(续表7)

资源松弛是指企业的资源超过原有活动所必需的资源,包括企业的闲置人员、资金和未被开发挖掘的机会和能力。根据企业行为理论,在企业创新过程中,企业所拥有的资源决定了决策的受约束程度。当资源松弛度较高时,管理层承担风险的意愿较强,特别是一些能促进企业发展但由于资源不足而无法实施的创新项目会重新启动[34]。相对于资源紧缩型企业,资源松弛能让管理层重视资产潜力的挖掘,对创新人才的培养和创新成果的产出更有耐心,为创新提供良好的环境。为了探究资源松弛是否调节内部控制与企业创新的关系,本文借鉴George 的研究[35],使用自由现金与总资产的比重(Slack)作为资源松弛的衡量指标,并建立模型(9):

由表8 回归(1)—(3)可知,不同的资源松弛企业内部控制与企业创新依然存在正U 型关系,Icl2× Slack 系数与Icl2 系数均显著且方向一致,说明资源松弛正向调节内部控制与企业创新的正U 型关系,使U型关系更陡峭。
表8 资源松弛、数字化转型异质性分析
Table 8 Heterogeneity analysis of resource relaxation and digital transformation

(续表8)

相对于传统内部治理,数字信息技术与内部控制相融合,能够提高内部控制治理效果。内部控制的目的是为了更好地监督经营和风险控制,企业通过引入数字技术能够更有效地识别创新风险,并提高企业管理层决策的科学性和可行性,实现监督管理流程的自动化,减少主观经验决策和人为操纵的可能。数字技术不仅能够优化企业原有的管理方式,还可以重新调整企业的生产要素,在推动企业创新方面提供新的动力[36]。数字化转型使企业的资源配置和外部资源寻找能力增强,有利于创新资源的供给。创新活动充满不确定性,其中很大程度是由于知识宽度不够,数字化能够提高知识信息的整合速度,拓展知识宽度,保障企业创新活动的知识供给。为验证数字化转型是否能加强内部控制对企业创新的促进作用,本文参考吴非等学者使用企业年报提取关键词的方法[37],最终分类整合得到数字化转型(Dig)词频总数,为了方便研究对词频总数进行自然对数处理,并提出模型(10):

由表8 回归(4)—(6)可知,数字化转型程度不同的企业,内部控制与创新依然存在正U 型关系,其中Icl2 × Dig 系数显著为正,与Icl2 系数方向相同,U型关系更陡峭,说明数字化转型正向调节内部控制与企业创新的关系。
本文将创新投入、产出和效率纳入知识产权密集型企业创新研究体系,基于投融资期限错配和管理层短视主义视角,探讨内部控制对知识产权密集型企业创新作用机制与作用路径。主要结论如下:①内部控制与企业创新投入、产出和效率均存在正U型关系,随着内部控制的建设对创新的影响先下降后上升,不仅印证现有文献研究结论不一致的现象,同时为知识产权密集型企业提高创新能力提供相应的管理建议。②投融资期限错配存在部分中介效应,内部控制通过抑制投融资期限错配行为进而促进企业创新。投融资错配现象会导致企业潜在风险增加,压缩了创新风险空间,并导致企业无法及时提供资金供应。③引入管理层短视主义作为中介效应的调节变量,发现管理层短视主义会抑制内部控制对企业创新的促进作用,减缓内部控制对投融资期限错配的抑制作用,同时加强投融资期限错配对企业创新的抑制作用。对知识产权密集型企业来说,如果管理层存在短视主义,导致内部控制的治理效果下降,不利于企业持久性地开展创新活动。④资源松弛和数字化转型均正向调节内部控制与企业创新的正U 型关系。如果企业存在资源松弛,要充分发挥资源优势,更好地提高创新,同时企业数字化转型也有利于企业创新。
在国家创新战略的背景下,应充分发挥内部控制在企业创新中的积极作用,使内部控制更好地服务知识产权密集型企业创新活动,本文提出如下建议:①作为知识产权密集型企业的管理者,应制定有针对性的内部控制制度,为企业营造良好的创新环境。内部控制与创新的非线性关系,说明管理者要平衡内部控制建设与创新资源占用之间的关系,合理地控制内部控制成本支出,加强资源的充分利用。同时,严格控制投融资期限错配的投资方式,将内部控制的规定和管理流程融入到企业创新活动中,提高企业整体创新水平。②作为知识产权密集型企业的股东在进行管理层招聘和晋升的工作时,应避免存在短视主义的管理层,不仅不利于企业内部控制治理的有效性和企业创新的提升,甚至还会增加企业的潜在风险。可以多方位考察管理层的知识背景和风险偏好,判断管理层是否存在短视主义,同时股东也要将更多的关注放在创新方面,杜绝一切不利于创新的因素。③知识产权密集型企业建立内部控制制度时,要考虑资源松弛和数字化转型因素,利用好资源松弛优势,并加强企业的数字化转型,与内部控制产生联合效应并共同促进企业创新。所以企业实施内部控制也要结合企业实际的情况进行调整,充分发挥内部控制的积极治理效应。
© 2024 All rights reserved. 北京转创国际管理咨询有限公司 备案号: 京ICP备19055770号-4
Transverture International Group Co Ltd, Guangdong Branch
地址:广州市天河区天河北路179号尚层国际1601
深圳市福田区深南中路2066号华能大厦
佛山顺德区北滘工业大道云创空间
东莞市大朗镇富丽东路226号松湖世家
梅州市丰顺县留隍镇新兴路881号
长沙市芙蓉区韶山北路139号文化大厦

欢迎来到本网站,请问有什么可以帮您?
稍后再说 现在咨询