
信息技术审计ITA 国际审计与内部监督 电子数据处理审计EDPA 数字化函证 国际审计准则与实务 大数据审计 数据采集与审计 区块链审计 信息系统审计 电子数据审计 电子商业汇票跨境支付 可信安全体系
自从2006年《上市公司股权激励管理办法》出台以来,公布或实施股权激励计划的上市公司如雨后春笋般快速增长,股权激励制度越来越被中国上市公司普遍地接受。然而,理论和实证研究均表明,旨在解决委托代理问题的股权激励制度,往往会引发管理层实施盈余管理等新的败德行为。不过,在诸多实证研究中,盈余管理几乎均被定义为应计盈余管理[1][2][3][4][5],鲜有研究关注股权激励薪酬契约是否会触发经理人真实活动盈余管理动机。另一方面,与美国等国家长期以来实施的经理人股权激励模式显著不同,我国实行的是业绩型股权激励,能否可行权必须基于行权业绩条件是否达到(甚至能否授权以及行权后股份出售也须基于业绩条件达到与否),因此,行权业绩条件成为我国股权激励计划除行权价格、有效期、授予份额、授予对象等以外另一个基本要素。有学者对我国业绩型股权激励计划行权业绩条件与股东财富增长之间的关系进行了研究[6],但是,我国业绩型股权激励计划如何影响盈余管理行为?我国上市公司管理层是否会通过使用真实活动盈余管理的方式来达到股权激励计划所设定的行权业绩条件?尚缺少基于我国股权激励实践的研究。有鉴于此,本文采用2006到2014年期间实施股权激励计划的A股上市公司为研究样本,运用股权激励计划所设定的行权业绩条件的相关数据,对股权激励与真实活动盈余管理之间的关系进行实证研究。本文的贡献体现在以下两个方面:首先,根据股权激励计划所设定的行权业绩条件衡量股权激励强度,是本文基于中国情景对股权激励强度度量的一个创新。既有西方文献大都使用CEO报酬与公司股价之间的敏感度[1]、CEO股票期权授予比重[4]或简单地是否实施股权激励[3]等方法来衡量股权激励强度。考虑到我国大多数上市公司高管股权激励薪酬比重很低,采用上述方法可能难以较好刻画股权激励强度。同时,另一方面,与西方实践显著不同,我国上市公司股权激励计划是业绩型股权激励计划,能否可行权必须基于行权业绩条件是否达到,因此,行权业绩条件成为我国股权激励计划除行权价格、有效期、授予份额、授予对象等以外一个基本要素,从而,根据股权激励计划行权业绩条件设定的严格程度来衡量股权激励强度,对于我国上市公司而言,既可行又合理。这是本文基于中国情景在股权激励强度度量方面的一个重要贡献。其二,本文从真实活动盈余管理角度丰富有关股权激励与盈余管理之间关系方面的文献。既有股权激励与盈余管理之间关系方面的研究,主要集中于应计盈余管理,未考虑对真实活动盈余管理的影响,本文研究将是对此的补充和深化。论文余下部分安排如下:1文献综述;2研究假说;3样本选择与数据来源;4模型设定与变量计量;5描述性统计;6多元回归分析;7研究结论。
真实盈余管理就是通过安排投资或筹资决策的时间来改变报告盈余或者盈余的某些子项目[7]。Graham et al.通过问卷调查发现,80%管理者为了达到平滑盈余的目的会进行削减研发、广告、维修等支出的真实盈余管理,尽管这种行为会伤害到企业的长期价值[8]。现有文献对真实盈余管理动因的研究表明,与应计盈余管理类似,公司会基于债务契约动因、资本市场动因等而实施真实盈余管理。
Roychowdhury研究发现有负债的公司比没有负债的公司有更高水平的真实盈余管理[9];Kim et al.、李增福等也有类似发现[10] [11]。上市公司还会因为资本市场的某些特定需要而进行真实盈余管理。Cohen et al.研究发现,为了迎合分析师对上市公司业绩预测,上市公司会进行不同程度的应计盈余管理和真实盈余管理,并发现上市公司更倾向于选择真实盈余管理手段进行盈余管理[12];Chen and Sivaramakrishnan、Hribar and Johnson和张然也有类似发现[13][14] [15]。此外,Cohen and Zarowin和Mizik and Jacobson的研究发现,增发股票的公司会通过多种方式进行真实盈余管理[16] [17]。
根据实证会计理论,薪酬契约是引发盈余管理的另一大动因,有诸多经验证据为分红计划假说提供了支持[18][19]。股权激励本质上是一种长期薪酬激励契约,因此,股权激励往往会诱发盈余管理。不过,在诸多实证研究中,盈余管理几乎均被定义为应计盈余管理。
用CEO报酬与公司股价之间的敏感度来度量股权激励,Bergstresser and Philippon研究发现股权激励与操控性应计利润之间呈现正相关关系[1]。Cheng and Warfield发现具有高股权激励的CEO使用更多的异常应计利润,同时发现具有高股权激励的经理更可能报告满足或刚刚达到分析师的盈余数字[2]。Ke、Kanagaretnam et al.、Jiang et al.等也有类似发现[3] [4] [5]。
除了将股权激励作为一个整体来检验其与应计盈余管理之间关系以外,有一类文献进一步研究围绕股票期权授予、行权、撤销和重新再发行等环节可能存在的旨在影响股价的盈余管理行为。Baker et al.研究发现,股票期权激励契约与股票期权授予日期前减少收入的操控性应计利润选择相联系,而且,当管理层能够在股票期权授予日期前公告盈余时,这种联系更加显著[20]。Coles et al.研究发现在股票期权计划被撤销到重新再发布这段时期内,样本公司存在异常低的操控性应计利润,而且即使在投资者意识到这种操纵股票价格动机的情形下,结果仍然成立,这说明管理层会利用股票期权撤销和重新再发行进行应计盈余管理旨在获取于己有利的股价[21]。
上述实证研究均支持了股权激励诱发应计盈余管理的理论预期,不过,管理层是否会通过真实活动盈余管理的方式来实现自己股权薪酬最大化,却少有研究。
2005年12月31日中国证监会出台《上市公司股权激励管理办法(试行)》,正式拉开我国上市公司股权激励改革的序幕。国务院国资委和财政部于2006年1月和9月联合发布《国有控股上市公司(境外)实施股权激励试行办法》和《国有控股上市公司(境内)实施股权激励试行办法》,对国有控股上市公司实施股权激励进行了进一步规范。随后,2008年5月和9月中国证监会连续发布3号《股权激励有关事项备忘录》,国务院国资委和财政部也于2008年10月联合发布《关于规范国有控股上市公司实施股权激励制度有关问题的通知》,对2006年以后股权激励实践中出现的问题进行规范和改进。分析我国上市公司股权激励制度规范不难发现,区别于美国等国家,我国上市公司股权激励制度安排从一开始就放弃了传统型股权激励,而强制采用业绩型股权激励,也就是,我国上市公司股权激励的行权权授予必须基于业绩条件(甚至股权激励授予本身以及行权后的股份出售之解锁也可以基于业绩条件)。具体而言,高管层在被授予股权激励(签订股权激励契约)后,并不能马上行权获得收益,只有在取得行权权后才能择机行权并获益,但行权权的取得不是随着高管服务时间的延伸自然发生的,而是股权激励契约设定的行权业绩条件得到满足以后才能取得行权权。不仅行权权必须基于业绩条件,我国上市公司股权激励计划的授予本身和行权后股份出售的解锁也可以甚至必须基于业绩条件。如《关于规范国有控股上市公司实施股权激励制度有关问题的通知》中明确规定,“上市公司实施股权激励,其授予和行使(股票期权和股票增值权的行权或限制性股票的解锁)环节均应设置应达到的业绩目标,业绩目标的设定应具有前瞻性和挑战性,并切实以业绩考核指标完成情况作为股权激励实施的条件。”此外,对于行权权授予等所基于的业绩指标,监管部门鼓励同时采用会计业绩指标和市场业绩指标,并鼓励甚至要求采取消除行业影响后的业绩指标。由此可见,我国上市公司实施的股权激励是典型的业绩型股权激励,并且对于业绩条件有较为严格的规定。
众所周知,股权激励的实施需要经历一系列环节,典型的股票期权激励通常涉及授予、可行权、行权和出售四个主要环节。四个主要环节都可能引发管理层实施相应的盈余管理,不过,各自的触发点不尽相同。有的环节,管理层可能是基于影响股价而实施盈余管理,如在授予环节,管理层可能会因为想获得一个较低的行权价格而实施向下盈余管理;而在出售环节,可能会因为想得到一个较高的出售价格而进行向上盈余管理。而在有的环节,如可行权环节,由于存在可行权业绩条件的设定,往往会直接触发管理层基于“业绩达标”的机会主义盈余管理动机。如前所述,在我国,行权业绩条件是股权激励计划核心要素,行权业绩条件设定的高低直接关系到股权激励计划的激励性程度,也直接影响激励对象能否行权从而实现其股权激励的预期收益。在行权业绩条件高低给定的情况下,作为激励对象的公司高管只有努力工作,才能达到业绩条件,从而获得股权激励的预期收益,这正是我们希望看到的股权激励的激励作用。但是,行权业绩条件主要是净利润增长率和净资产收益率等会计指标,公司高管对其具有一定程度的自由裁量权,同时,产生会计利润的真实交易活动发生与否、何时发生等也是由公司高管决定的。当高管层认为行权业绩条件难以实现或希望更轻松达到业绩条件的时候,作为“理性经济人”的公司高管为了追求最大化的自身利益,实施真实活动或应计项目盈余管理在所难免。我们知道,真实盈余管理和应计盈余管理作为两种具体手段,都能够实现管理层的盈余管理最终目的。两者的差异在于,应计盈余管理只影响公司会计盈余的期间分布但不影响公司实际的现金流,而真实盈余管理通过进行真实的交易活动会影响公司的现金流。公司进行应计盈余管理会留下种种痕迹,容易引起审计师和监管者的关注,而公司进行真实盈余管理,有关信息披露较少,且所有交易都是真实存在的,因此,监管层或者公司的利益相关者很难真正发现管理层真正动机,相对于应计盈余管理更具有隐蔽性。经过二十年的发展,我国资本市场制度建设和监管环境日趋健全和完善,注册会计师行业的执业质量和职业操守也得到较大提升,公司管理层的盈余管理策略也随之有所变化,真实盈余管理活动开始被更多地使用[11] [22] [23]。不过,实施真实盈余管理的动机,应该与股权激励计划的激励性程度密切相关。行权业绩条件越高,实现难度越大,高管层实施真实盈余管理的动机越强从而程度越大,反之,行权业绩条件越低,实现难度越小,高管层实施真实盈余管理的程度越小。据此,我们提出以下研究假说:
假说1:相对于“非激励性”股权激励计划,“激励性”股权激励计划所诱发的真实盈余管理程度更大;
假说2:股权激励计划的激励性程度越高,所诱发的真实盈余管理程度越大;即:股权激励计划中行权业绩条件的设定水平相对于公司以前年度实际业绩水平越高,所诱发的真实盈余管理程度越大。
本文以2006-2014年实施股权激励计划的A股上市公司作为研究样本①。在样本选择过程中,基于研究目的的需要,本文按以下条件对样本进行筛选:(1)剔除金融保险类上市公司;(2)剔除颁布股权激励计划但是没有被股东大会决议通过的上市公司;(3)剔除在实行股权激励过程中中途取消的上市公司;(4)剔除ST,SST及S类上市公司;(5)剔除股权激励计划考核期的第一个年度在2014年以后的上市公司;(6)剔除股权激励计划披露数据不全、缺失或者公司财务异常的上市公司;(7)剔除股权激励可行权业绩条件中没有净利润增长率和加权平均净资产收益率中任何一个业绩指标的上市公司②。经过上述条件筛选后,得到419个有效样本。
本文所使用的股权激励相关数据来源于国泰安财经研究数据库中的中国上市公司治理结构研究数据库股权激励实施情况文件(部分缺失的股权激励数据源自巨潮资讯网手工整理核对),相关财务数据来源自国泰安财务报表数据库和财务指标分析数据库,其他数据来自国泰安股东研究数据库和治理结构研究数据库。
表1 样本公司业绩指标选取情况

本文研究主要运用Stata.11.0和EXCEL进行数据处理和分析。
在本文研究样本中,有387个样本公司股权激励计划中包含净利润增长率这一业绩指标,占总样本的92.36%;有349个样本公司股权激励计划中包含净资产收益率这一业绩指标,占总样本的83.29%;而在业绩条件的规定中,同时含有净利润增长率和净资产收益率的样本数有317个,占总样本的75.66%。此外,在股权激励计划样本中,有16.71%的样本公司只有净利润增长率业绩指标,有7.64%的样本公司仅有净资产收益率业绩指标。从表1样本公司业绩指标选取情况可以看出,上市公司在设计股权激励计划行权业绩条件时特别倾向于净利润增长率和净资产收益率这两个业绩指标。
本文使用以下基本回归模型分别检验所提出的研究假设。模型的被解释变量为刻画真实盈余管理的变量RM,解释变量Incentive、NPdff和ROEdff在回归时被分别放入回归模型,以观测其对被解释变量的不同影响。同时,变量DA在进一步分析时分别被作为解释变量纳入回归模型。

4.2.1 被解释变量
本文借鉴Roychowdhury等国外学者有关真实盈余管理的研究成果,对真实活动盈余管理进行估计[9]。根据既有文献,公司进行真实盈余管理主要通过三种方式:销售操纵,成本操纵,和费用操纵,因此,我们选用公司异常经营现金净流量,异常生产成本和异常酌量性费用的综合值的绝对值来度量一个公司的真实盈余管理程度③,具体计算过程如下:
异常经营现金净流量的估算。经营现金净流量CFO与本期销售额和销售额变动存在线性关系,所以,可以用公式(1)来估计异常经营现金净流量:
(1)其中:CFOi.,t是i公司t年度的经营活动现金流量净额,Ai.t-1是i公司基准年上一年度的资产总额,Si,t是i公司t年度的主营业务收入,△Si,t是i公司t年度与上一年度主营业务收入的差,
cfo是模型的残差,其代表着i公司t年度的异常经营活动现金流量(AB_CFO)。
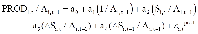
异常生产成本的估算。产品生产成本PROD等于产品销售成本与本期库存产品变动之和,而产品销售成本为本期销售额的函数,库存产品变动为本期销售额变动及上期销售额变动的函数,因此,异常生产成本可以用公式(2)来估算:
(2)其中:PRODi,t等于i公司t年度的主营业务成本加上本年存货比上一年的增加额。Ai.t-1是i公司基准年上一年度的资产总额,Si,t是i公司t年度的主营业务收入,△Si,t是i公司t年度与上一年度主营业务收入的差,△Si,t-1是i公司t-1年度与上一年度主营业务收入的差。是模型的残差,其代表着i公司t年度的异常生产成本(AB_PROD)。
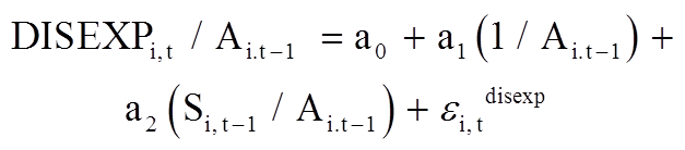
异常酌量性费用的估算。酌量性费用支出DISEXP主要包括销售费用与管理费用,与本期销售额存在线性关系,可以用公式(3)来估计异常酌量性费用:
(3)其中:DISEXPi,t是i公司t年度的营业费用和管理费用之和。
sga是模型的残差,其代表着i公司t年度的异常酌量性费用水平(AB_DISEXP)。
以上三项目的具体估算步骤:首先,使用2006-2014所有上市公司的相关数据,对以上三个式子执行分行业分年度OLS回归,获得相应参数的估计值,进而得到经营现金净流量、生产成本和酌量性费用的拟合值,这可以作为这三个项目的正常量的估计值。然后,用该三项目各年度实际值减去各年度估计值,便可以求出上市公司的异常经营现金净流量(AB_CFO)、异常生产成本(AB_PROD)和异常酌量性费用(AB_DISEXP)。
借鉴Zang和Cohen and Zarowin的做法,本文采用异常经营现金净流量(AB_CFO)、异常生产成本(AB_PROD)和异常酌量性费用(AB_DISEXP)的综合值的绝对值来度量上市公司真实活动盈余管理的程度[24] [16]。上市公司在向上做大利润时会有更高的异常生产成本、更低的异常酌量性费用和更低的异常经营现金净流量,所以,我们定义真实盈余管理如下:
RM =︱AB_PRODE-AB_CFO-AB_DISEXP︱
4.2.2 解释变量
股权激励计划的激励性质(Incentive)。股权激励计划的激励性质(Incentive),是从整体上判断一个公司推出的股权激励计划是否具有激励性质的哑变量。若公司推出的股权激励计划具有“激励性”,取值1,若股权激励计划不具有“激励性”,则取值0。本文判断样本公司所推出股权激励计划是否具有“激励性”的基本标准是,股权激励计划中设定的行权业绩条件是否高于公司过去三年实际业绩水平的均值。在仔细研读了每个样本公司股权激励计划的行权业绩条件后发现,在整个股权激励计划考核期内,第一年业绩条件的高低基本代表了整个股权激励计划业绩条件总体水平的高低,这是因为,第一年业绩条件往往是后期业绩条件的基础,上市公司是否达到第一年的业绩条件关系到以后年度业绩条件的达到与否,甚至关系到股权激励计划能否继续顺利实施,因此,本文以样本公司股权激励计划中业绩考核期内的第一年业绩条件为基础,来判断整个股权激励计划业绩条件的“激励性”总体水平。具体做法是:(1)将样本公司股权激励计划中第一个考核年度的业绩条件,与公司过去3年对应的实际业绩水平进行比较,以判断激励计划的“激励性”。对于少数样本公司过去对应实际业绩不足3年的,则以其过去2年或者1年的对应实际业绩进行比较④。(2)由于样本公司股权激励计划中业绩条件设定普遍采用净利润增长率和加权平均净资产收益率两个业绩指标,而且,当这两个(或更多)业绩指标同时出现在股权激励计划业绩条件中的时候,这两个(或更多)业绩指标所设定的条件是必须同时达到的,所以,只要样本公司股权激励计划行权业绩条件中净利润增长率或者加权平均净资产收益率的设定值,与样本公司过去3年对应指标的实际加权平均值的差额是正数,则,本文将该股权激励计划界定为具有“激励性”,否则不具有“激励性”。
股权激励计划的激励强度。股权激励计划的激励强度包括净利润增长率的差值和加权平均净资产收益率的差值。
净利润增长率的差值(NPdff)。净利润增长率的差值(NPdff),用来衡量股权激励计划的激励强度。取值方法是:样本公司股权激励计划业绩条件中须达到的第一年净利润增长率的数值,减去样本公司过去3年净利润增长率的实际值后的差值。差值越大,说明样本公司推出的股权激励计划的业绩条件相对而言比较难达到,激励强度也就更大,同时,高管为了达到净利润增长率的设定值可能会进行更大程度的盈余管理。
加权平均净资产收益率的差值(ROEdff)。加权平均净资产收益率的差值(ROEdff),用来衡量股权激励计划的激励强度。取值方法是:样本公司股权激励计划业绩条件中须达到的第一年加权平均净资产收益率的数值,减去样本公司过去3年加权平均净资产收益率的实际值后的差值。差值越大,说明样本公司推出的股权激励计划的业绩条件相对比较难以达到,激励强度也就更大,同时,高管为了达到加权平均净资产收益率的设定值进行更大程度盈余管理的概率也就会更大。
应计盈余管理程度(DA)。本文用操纵性应计利润的绝对值来衡量上市公司的应计盈余管理程度。参照夏立军等同类文献[25],操纵性应计利润是由修正的横截面Jones模型分行业分年度估计得到⑤。
4.2.3 控制变量
借鉴李增福等、林永坚等前期研究[11][26],本文进一步加入了一系列控制变量,以克服遗漏变量偏误。
最终控制人性质(Stateown):哑变量,若上市公司最终控制人是政府有关机构(如国资委、财政部门等)、国有资产经营公司、大专院校及科研机构等,则取值为1;否则为0。用来控制上市公司产权性质对盈余管理的可能影响。众所周知,国有上市公司高管薪酬受政府管制,高管更偏好在职消费[27],所以,国有上市公司高管较少可能因为薪酬而进行盈余管理。根据国务院国资委出台的《国有控股上市公司(境内)实施股权激励试行办法》,国有上市公司股权激励的强度和预期收益等也是受到较严格管制的,因此,我们预期国有上市公司高管有较小的激励为薪酬而进行盈余管理。也就是,该变量符号预期为负。
股权集中度(Firstown):公司第一大股东的持股比例。用以控制大股东持股比例对盈余管理的可能影响。既有文献表明,集中的股权结构有利于强化对管理层的监督,随着第一大股东持股比例的增加,公司盈余管理行为应该会得到一定程度的抑制。因此,该变量符号预期为负。
审计监督(Top4):哑变量,出具审计报告的会计师事务所属于国际“四大”⑥的,取值1;否则,取值0。审计监督会直接影响到公司进行盈余管理的程度和方式,本文借鉴李增福等的做法,采用虚拟变量Top4作为审计监督代理变量[11]。根据既有研究,大所的审计监督质量较高,故该变量符号预期为负。
董事会独立性(Indrt):独立董事占整个董事会人数的比例。用来控制董事会结构对盈余管理的可能影响。董事会具有较高独立性,应该能够抑制高管的盈余管理程度。该变量预期符号为负。
与此同时,本文还进一步控制了公司的财务杠杆(Debt)、资产收益率(ROA)、总资产周转率(Turnover)、公司成长性(Growth)、公司规模(Size)等其他文献中曾控制的因素[11] [26]。
此外,为了控制年度和行业对盈余管理的影响,在回归模型中加入了年度哑变量(Year)和行业哑变量(Indu)。其中,年度哑变量(Year):样本期间涵盖2006-2014年,共设置8个年度哑变量。行业哑变量(Indu):按证监会2001年的分类标准(除制造业按次大类划分,其他以大类为准),共有22个行业,本研究样本共涉及20个行业,故设置19个行业哑变量。
表2 变量定义与说明

表3 虚拟变量描述性统计

从表3和表4描述性统计可知,衡量真实盈余管理程度的变量RM,均值是0.3033814,标准差是0.3086281,最大值为1.71105,最小值为0.000351。可见,上市公司真实盈余管理程度的离散程度较大,这说明样本公司的盈余管理程度存在明显差异。变量DA也存在类似特点。那么,都是哪些因素导致上市公司盈余管理程度的较大差异呢?变量NPdff的均值是0.0767307,表明样本公司股权激励计划业绩条件中须达到的第一年净利润增长率的数值,平均而言,比过去3年净利润增长率的实际值多0.0767307。然而,NPdff的中位数是0.0252,说明样本中,大多数公司股权激励计划业绩条件中须达到的第一年净利润增长率的数值,比过去3年净利润增长率的实际值高得不多,也就是说,从净利润增长率这一业绩指标上看,我国大多数上市公司推出的股权激励计划业绩条件的设定相对比较宽松,可能激励性不足。从变量ROEdff描述性统计结果看,ROEdff的均值和中值都是负数,意味着,从净资产收益率这一业绩指标角度看,上市公司实施的股权激励计划所设定的业绩条件大都不够严格,激励性较弱。变量Incentive的描述性统计从总体上表明,60.14%样本公司的股权激励计划具有“激励性”,39.86%的股权激励计划不具有“激励性”。不过,NPdff的标准差是4.121728,ROEdff的标准差为4.08545,两变量的离散程度较大,说明样本公司股权激励计划业绩条件的松紧程度差异较大,那么,激励性程度不同的股权激励计划是否会诱发公司高管不同程度的盈余管理呢?这需要进一步分析。
表4 连续性变量描述性统计

表5是激励性质与真实盈余管理回归分析的结果。回归模型中变量的方差膨胀因子(VIF)值均不超过5(基于省略未报告,下同),所以,变量间不存在严重的共线性问题。回归结果显示,变量Incentive的系数符号均显著为正,表明“激励性”的股权激励计划比“非激励性”的股权激励计划具有更大的真实盈余管理程度,也就是,相对于“非激励性”股权激励计划,“激励性”股权激励计划所诱发的真实盈余管理程度更大。因此,假说1得到印证。
从控制变量回归结果看,股权集中度(Firstown)的系数符号均显著为负,表明集中的股权结构有利于强化对管理层的监督,随着第一大股东持股比例的增加,公司真实盈余管理行为得到了一定程度的抑制。董事会独立性(Indrt)的系数符号均显著为正,表明,我国上市公司董事会独立性不高,难以发挥对真实盈余管理行为应有的治理作用。此外,回归结果还显示,真实盈余管理程度与公司盈利能力(ROA)、资产周转率(Turnover)正相关。
表5 激励性质与真实盈余管理回归结果(因变量RM)

注:上行数据为回归系数,下行数据为t值。***、**、*分别表示在1%、5%、10%水平上显著(双尾检验)。
表6 激励强度与真实盈余管理回归结果(因变量RM)

注:上行数据为回归系数,下行数据为t值。***、**、*分别表示在1%、5%、10%水平上显著(双尾检验)。
表6是激励强度与真实活动盈余管理回归分析的结果。回归结果显示,除了回归三中变量NPdff外,刻画激励强度的变量NPdff和ROEdff的系数符号均显著为正,表明股权激励计划中行权业绩条件的设定水平相对于公司以前年度实际业绩水平越高,所诱发的真实盈余管理程度越大。就是说,股权激励计划的激励性程度越高,所诱发的真实盈余管理程度越大。因此,假说2得以支持。
控制变量的回归结果与表5一致,不再赘述。
表7是在真实盈余管理回归模型的基础上加入应计盈余管理(DA)控制变量后的回归结果。回归一中变量Incentive的系数符号显著为正,表明“激励性”的股权激励计划比“非激励性”的股权激励计划具有更大的真实盈余管理程度。回归二、三中,变量NPdff和ROEdff的系数符号均显著为正;回归四中变量ROEdff的系数符号显著为正,变量NPdff的系数符号为正但不显著,结果说明,股权激励计划激励强度越高,诱发的真实盈余管理程度就越大。同时,除了回归一中变量DA的系数符号为正但不显著(接近显著)以外,回归二、三、四中变量DA的系数均显著为正,说明股权激励公司实施的应计盈余管理与真实盈余管理存在正相关关系。总体上看,回归结果表明,在控制应计盈余管理条件下,相对于“非激励性”股权激励计划,“激励性”股权激励计划所诱发的真实盈余管理程度更大;同时,股权激励计划中行权业绩条件的设定水平相对于公司以前年度实际业绩水平越高,所诱发的真实盈余管理程度越大。因此,假说1、2得到进一步支持。此外,回归结果显示应计盈余管理程度与真实盈余管理程度存在显著正相关关系,这意味着,实施股权激励计划的公司其管理层为了达到行权业绩条件,会综合使用真实活动盈余管理和应计盈余管理两种手段。
表7 控制应计盈余管理后的检验(因变量RM)

注:上行数据为回归系数,下行数据为t值。***、**、*分别表示在1%、5%、10%水平上显著(双尾检验)。
为了使研究假说得到进一步验证,我们还执行了以下稳健性检验:其一,对于真实盈余管理变量,分别采用异常经营现金净流量ab_cfo、异常生产成本ab_prod和异常酌量性费用ab_disexp来计量;其二,对于应计盈余管理变量,采用未修正的横截面Jones模型分行业估计的操控性应计利润计量;其三,针对激励性样本(即变量Incentive取值为1),重复了以上所有回归检验。稳健性检验结果与上述回归分析结果一致(基于省略,未列出),因此,本文的回归结果得到进一步支持。
本文以我国2006-2014年颁布并通过的股权激励计划的A股上市公司为研究对象,以股权激励计划中第一个有行权业绩条件设定的年份为切入点,运用股权激励计划中行权业绩条件的设定水平相对于公司以前年度实际业绩水平的差额数据,实证研究了股权激励与真实活动盈余管理之间的关系。
研究结果发现,“激励性”股权激励计划相对于“非激励性”股权激励计划会诱发更大程度的真实盈余管理,而且,随着股权激励计划的激励性程度增强,所诱发的真实盈余管理程度趋于增强;同时,在控制应计盈余管理情况下,上述结果仍然成立。研究结果表明,实施股权激励计划的公司其管理层为了达到行权业绩条件,会使用真实盈余管理手段,同时也会综合运用真实盈余管理和应计盈余管理两种盈余管理手段。研究还发现,集中的股权结构能够在一定程度上抑制真实盈余管理程度,而董事会的独立性对于真实盈余管理行为没有治理作用。本文研究结果意味着,科学合理地设定行权业绩条件对股权激励有效性具有至关重要的影响,过低或过高的行权业绩条件都不利于股权激励预期效果的实现;同时,优化股权结构对抑制股权激励引发的真实盈余管理行为具有重要意义。
本文以股权激励计划中首期行权业绩条件为基础来衡量整个股权激励计划的“激励性”程度,尽管首期行权业绩条件是整个股权激励计划实现与否的基础,但毕竟股权激励计划中的业绩考核期的第一年与整个股权激励计划的业绩考核期并不能完全画等号,这使得本文研究结论可能具有一定的局限性。另外,我们选取净利润增长率和净资产收益率这两个指标来衡量股权激励计划“激励性”程度,没有涵盖上市公司股权激励计划中所涉及的所有业绩考核指标(如销售额,销售量,营业收入增长率,每股收益,不低于行业平均水平指标等),这也使得本文研究具有一定局限性。
© 2024 All rights reserved. 北京转创国际管理咨询有限公司 备案号: 京ICP备19055770号-4
Transverture International Group Co Ltd, Guangdong Branch
地址:广州市天河区天河北路179号尚层国际1601
深圳市福田区深南中路2066号华能大厦
佛山顺德区北滘工业大道云创空间
东莞市大朗镇富丽东路226号松湖世家
梅州市丰顺县留隍镇新兴路881号
长沙市芙蓉区韶山北路139号文化大厦

欢迎来到本网站,请问有什么可以帮您?
稍后再说 现在咨询