
中国企业国际化发展 财务创新全球化研究 商务创新与全球化 境外直接投资备案(ODI) 国际风险管理 网络安全与隐私保护 泛珠三角区域合作 转创全球科创智库 管理创新与全球化 海关监管
电子商务师 知识产权发展 价值共创 企业科创管理 创投俱乐部 全面质量管理 移动支付 私营经济 企业经营 商业模式创新 通商董事会馆 灯塔工厂 企业产品创新 客户与营销 商业规划 产品检测 金融科技 价值网络 企业创新管理 科技创新企业 精益创新 玩具产业孵化基地 餐饮美食 奶茶饮品
十四五规划专题 碳达峰中和计划 科技创新 现代服务业 全过程工程 环保技术 跨境电商合规转型 数字化转型 碳排放管理 供给侧改革 转创国际技术转移 数控工厂 专精特新企业 能源与电力 碳排放管理会计 全面绩效管理 应对气候变化 国有资产管理 制度智库 雏鹰企业 高新技术企业 进出口企业管理 盈利模式转型 瞪羚企业 绿色能源与碳核算 气候审计与鉴证 数字化监管
以数字经济助推产业结构转型升级是实现经济高质量发展和增强国际竞争力的重要举措。2016年,G20峰会将数字经济视为主导经济发展的新方向,强调要“发展数字经济,建设网络强国,抢抓全球新一轮产业竞争制高点,促进实体经济转型升级”,为带动产业结构升级和经济高质量发展提供了重要的战略支撑。2019年,浙江省、河北省(雄安新区)、福建省、广东省、重庆市和四川省等6个地区被授牌“国家数字经济创新发展试验区”,成为带动数字经济发展、打造数字新优势、加快“数字中国”建设的排头兵。《中华人民共和国国民经济和社会发展第十四个五年规划和2035年远景目标纲要》则进一步将加快数字经济发展与构建现代产业体系提升至战略高度。发展数字经济已经成为转变经济发展方式、提高经济发展质量、解决经济发展不平衡不充分等问题的迫切任务,也是全面实现创新驱动发展,加速产业向中高端迈进的关键力量。①
数字经济在促进经济增长、推动创新以及产业发展方面均发挥了重要作用。在促进经济发展方面,数字经济是经济增长的动力源泉,能增强劳动力时空流动、多样化劳动者就业选择、优化要素配置结构,提升国民劳动性收入,②提升要素生产效率,带动经济高质量发展。③在推动创新方面,数字经济发展能有效推动技术创新和产品创新。④在产业发展方面,数字经济能拓展产业链分工边界、降低交易成本,引发价值分配的转移和需求变化,给生产生活带来颠覆性影响。⑤数字经济及其子系统对我国产业结构转型升级存在正向促进作用,特别是大数据的广泛应用能推动制造业结构高级化与合理化。⑥
然而,我国至今仍然面临产业结构“低端锁定”的困境,信息化与产业转型升级耦合协调度依然处于较低水平,信息化与产业转型升级之间的耦合机制尚未形成,甚至还存在相互掣肘的现象。⑦数字经济在发展过程中已经暴露出一系列问题,比如,企业数字化转型意愿强烈但缺乏具体战略布局,数字经济在宏观经济统计指标中难以捕捉,甚至出现“新索洛悖论”,⑧以及区域“数字经济鸿沟”与两极分化加剧等问题。⑨对此,立足于我国产业结构“低端锁定”困境,数字经济最终将会对我国产业结构转型升级产生何种影响?其内部机制是什么?目前鲜有文献对此展开系统研究,而这正是本文试图回答的问题。
本文可能的边际贡献有:(1)从数字经济基础、数字经济应用、数字经济产出与数字经济服务四个维度测算2011—2019年我国281个地级市的数字经济发展水平;(2)结合地级市面板数据检验数字经济对产业结构转型升级的影响,并从要素市场化改革视角考察数字经济影响产业结构转型升级的内部机制;(3)从地理区位、发展阶段以及合成指数的四个维度考察数字经济对产业结构转型升级的不同影响。
产业结构转型升级是从低附加值向高附加值方向顺次演进的高度化与协调关联水平不断提升的合理化过程。①产业结构升级的实质是实现产业之间生产要素的优化配置与高效使用,关键需要完善的要素市场保障要素配置从行政化转向市场化。当下,数字经济蓬勃发展为产业结构转型升级提供了强大驱动力。首先,数字经济通过加速要素市场化改革带动产业结构合理化。数字经济发展加强了要素之间的关联程度,为要素充分自由流动提供了良好的体制机制环境,有助于优化资源配置结构,提高产业间的协调关联水平,促进产业结构合理化。具体而言,一方面,数字经济能加速生产力水平信息化与智能化,可以从技术与经济范式转换等方面打破传统要素市场束缚,加快要素市场化改革,充分发挥市场机制配置资源与价格的决定作用,带动资本、劳动和创新要素自由流动与使用方式的集约化转型,促进经济结构调整、经济效率提升,以及协调要素投入与产出之间的结构关系,通过优化配置要素结构连接数字经济与高质量发展以及产业结构升级,从根本上推动经济结构合理化,带动产业结构转型升级。②另一方面,数字技术的广泛应用有助于加速要素市场化改革进程,带动劳动力、资本和技术向高技能、高弹性工作条件、高投资收益回报以及高附加值行业流动,重塑生产过程的要素投入种类和投入比例,并通过市场竞争和产业分工降低资源错配和市场扭曲,③优化资源在行业间、部门间与地区间的配置结构,推动产业结构合理化。对此,本文提出第一个有待验证的理论假说。
理论假说1:数字经济有利于推动产业结构合理化。
其次,数字经济通过加速要素市场化改革带动产业结构高度化。产业结构合理化是地方各产业之间关联程度和协调程度的反映。数字经济以数据为核心元素,依托数字技术,通过改变经济系统中要素的组合方式与投入结构,打破制约要素流动的传统体制机制障碍,降低市场经济与企业交易成本,提高产业运行效率,带动产业结构高度化。具体而言,一方面,数字经济通过互联网、云计算、大数据、人工智能等数字技术向经济发展各个环节广泛渗透,以资源重组的方式改变传统要素投入种类和结构,强化市场竞争,优化产业分工,④带动要素从低效率部门向高效率部门流动,优化要素配置结构,提升要素生产效率。⑤此时,传统“低能量密度”要素向“高能量密度”要素的转变能提升传统经济知识密度,增强经济发展动能,带动产业向技术和知识密集型等高附加值方向升级,促进产业结构高度化。另一方面,数字经济通过加速要素市场化改革,营造公开透明的市场环境,减少信息不完全以及外部性等问题,降低交易成本,畅通要素流动,优化要素市场配置结构,盘活“沉睡”资源,提升产业效率,带动产业结构高度化。⑥此外,数字经济的网络化与协同性特征有助于强化生产要素之间的集约化整合与网络化共享,提高要素的供给规模与利用效率,而这种由信息、数据等新生产要素引发的“溢出效应”与“渗透效应”还能产生正外部性,并以正向因果累积循环反馈机制形成“马太效应”,拓展企业运营规模,实现交易、交流、合作的数字化,降低产品边际成本和平均成本,推动产品向高附加值转变,促进产业结构高度化转型。①对此,本文提出第二个有待验证的理论假说:
理论假说2:数字经济有助于推动产业结构高度化。
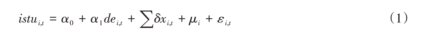
基于上述数字经济影响产业结构转型升级的理论机制,本文还需结合统计数据进行实证检验,具体的回归方程为:
在(1)式中,istui,t为i地区t时期产业结构转型升级水平;dei,t表示i地区t时期的数字经济发展水平;xi,t为一系列控制变量,包括政府规模、经济发展水平、人力资本、基础设施建设以及对外开放程度等,很大程度上避免了因遗漏变量带来的估计偏误;μi为个体固定效应;εi,t为误差项。
1.被解释变量
本文的被解释变量是产业结构转型升级,包括产业结构合理化与产业结构高度化两方面。其中,产业结构合理化是产业间协调发展与耦合程度的衡量,②本文借鉴泰尔指数的计算方法测度各地级市产业结构合理化水平,计算公式为:
其中,yi,m,t表示i地区m产业在t时期占地区生产总值的比重,li,m,t表示i地区m产业t时期从业人员占总就业人员的比重。产业结构泰尔指数反映的是三大产业产值结构与就业结构之间的偏离程度,若该指数为0,说明产业结构处于均衡水平;若不为0,说明产业结构偏离均衡状态,产业结构不合理。
此外,产业结构高度化是产业份额占比在“量”上的演进和产业效率在“质”上的提升,当某一国家或地区劳动生产率较高的产业所占份额较大时,说明其具有较高的产业结构高度化水平。本文借鉴袁航和朱承亮(2018)的研究,利用三大产业份额占比与各产业劳动生产率的乘积加权值测算产业结构高度化水平,③计算公式为:

其中,lpi,m,t表示i地区m产业在t时期的劳动生产率;Yi,m,t表示i地区m产业t时期的增加值,Li,m,t表示i地区第m产业t时期的就业人员,同时,本文采用均值化方法对产业结构高度化进行了无量纲化处理。
2.解释变量
本文的解释变量是数字经济发展水平。对此,有学者尝试通过构建指标体系进行测算,主要针对全国层面和省级层面,而较少从地级市层面进行测度。同时,也有学者采用腾讯研究院发布的数字经济指数,但由于该指数每年在统计口径上的细微变化,①只有部分文献在做截面分析时采用过。鉴于此,本文基于已有文献,秉承全面、准确、数据可得的原则,尝试从数字经济基础(互联网宽带接入用户数,万户)、数字经济应用(移动电话用户数,万户)、数字经济产出(电信业务总量,万元)与数字经济服务(数字从业人员,包括信息传输、计算机服务业和软件业从业人员占城镇单位从业人员比重)四个方面采用熵值法测度2011—2019年我国281个地级市的数字经济发展水平。需要说明的是,本文未将普惠金融指数纳入指标体系主要是因为该指数已经是若干基础指标的合成,不宜与其他指标再次合成。但为了与已有的采用普惠金融刻画数字经济发展水平的文献保持一致,本文在稳健性检验部分将使用该指标作为数字经济的代理变量。
3.控制变量
为了防止因遗漏变量给模型估计带来偏误,本文借鉴袁航和朱承亮(2018)的做法,引入了一系列控制变量:②(1)政府规模,采用政府财政支出额占地区生产总值的比重测算;(2)经济发展水平,采用实际人均生产总值测度地区经济发展水平,同时在回归时还引入了经济发展水平的二次项;(3)人力资本,采用高等教育在校生数与地区年末人数之比测算;(4)基础设施建设,采用人均道路面积测算;(5)对外开放程度,采用实际使用外资金额与地区生产总值的比值测算。以上所有数据均来自历年《中国城市统计年鉴》与中经网,用货币度量的指标均以1990年为基期剔除了价格因素的影响。表1是变量的描述性统计。
表1 变量的描述性统计

基于基准回归方程,本文对数字经济的产业结构转型升级效应进行了实证检验,结果见表2。此时,数字经济显著抑制了产业结构泰尔指数,意即数字经济有助于抑制产业结构偏离均衡状态,继而促进产业结构合理化。与此同时,数字经济对产业结构高度化的影响为正,但在统计上不显著,一定程度上验证了理论假说1和理论假说2。控制变量回归结果显示,政府规模对产业结构合理化与产业结构高度化均具有显著抑制作用,说明过多的政府干预不利于促进资源优化配置与产业效率提升,从而不利于带动产业结构合理化与高度化。经济发展水平能显著促进产业结构合理化与高度化。人力资本能显著促进产业结构合理化,但对产业结构高度化的影响在数值上为负。基础设施建设在一定程度上对产业结构合理化存在不利影响,而对外开放程度能显著推动我国产业结构合理化。
表2 基准模型回归结果

注:(1)括号内为t统计值;(2)*、**和***分别表示在10%、5%和1%水平下显著;(3)所有回归均采用以地区为聚类变量的聚类稳健标准误。下同。
1.工具变量法
本文借鉴已有文献,选取各城市1984年的邮电历史数据作为数字经济的工具变量,①这主要是因为:第一,互联网普及率较高的地区通常是历史上邮电业务发展较好的地区,满足工具变量的相关性原则;第二,历史上邮电业务的发展情况通常又不太可能对当下产业结构转型升级产生直接影响,所以满足工具变量的外生性原则。因此,本文选取1984年各城市邮电局总数作为数字经济发展的工具变量。考虑到该变量为截面数据,此处参考Nunn和Qian(2014)的做法,以上一年全国互联网用户数分别与1984年各城市邮电局总数的交互项作为工具变量,②同时引入城市和时间固定效应,回归结果见表3中第(1)列。此时,数字经济在1%水平下能显著抑制产业结构泰尔指数,有效促进产业结构合理化,但对产业结构高度化并不具有显著的促进作用,与基准回归模型所得结果基本一致。
2.系统广义矩估计SYS-GMM
此处以数字经济的滞后期作为工具变量,采用SYS-GMM方法对基准模型重新估计后的结果见表3中第(2)列。此时,数字经济依然显著促进了产业结构合理化,而且对产业结构高度化也具有明显的促进作用,与基准模型所得结论大体一致。
3.引入政策冲击
为了进一步缓解可能存在的内生性问题,本文尝试采用相对外生的政策冲击进行考察。国家数字经济创新发展试验区是带动数字经济发展的前沿阵地,该项目自2019年正式启动以来,初次确定了包含河北省(雄安新区)、浙江省、福建省、广东省、重庆市、四川省等在内的6个国家数字经济创新发展试验区(park),其发展以《国家数字经济创新发展试验区实施方案》为指导,旨在要求各试验区在数字经济要素流通机制、新型生产关系、要素资源配置、产业集聚发展模式等方面开展探索,充分释放新动能。尽管该试验区设立时间不久,但却是推动数字经济发展的一项政策冲击。对此,本文将这6个省市区所对应的地级市作为处理组,其余地级市作为控制组,通过构建双重差分模型(DID)检验国家数字经济创新发展试验区对产业结构转型升级的影响,结果见表3中第(3)列。可以看出,上述试验区在2019年刚成立,回归结果缺乏统计显著性,但对产业结构合理化的积极影响已经显现。未来,随着时间的推进,试验区的发展对我国产业结构转型升级的积极带动作用将会逐渐显著。
表3 内生性检验

1.替换被解释变量
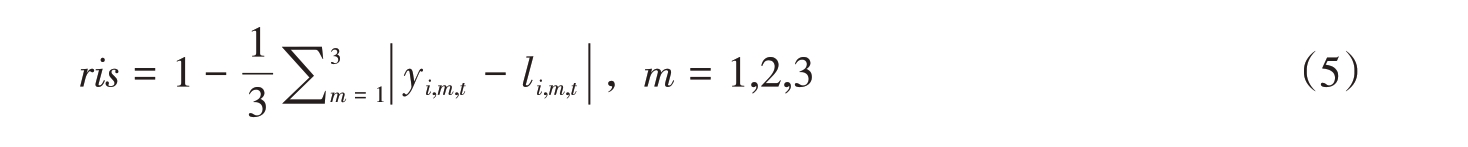
在已有文献中,不同学者曾对产业结构合理化与高度化提出了不同的测度指标。本文此处借鉴陶长琪和彭永樟(2017)的做法重新测算产业结构合理化,①计算公式为:

其中,ris 是一个正向指标,该值越大,说明产业结构越合理。同时,本文借鉴干春晖等(2011)的做法,采用三产与二产的比值作为产业结构高度化的代理指标,①并根据基准模型重新回归,所得结果显示,数字经济能显著促进产业结构合理化与高度化。②
2.替换解释变量
此处借鉴从覆盖广度、使用深度和数字支持服务程度等三方面测算得到的数字普惠金融指数进行稳健性检验。③考虑到该指数是多指标合成结果,不便对其进行再次合成,故本文并未将其纳入数字经济发展指标体系中来,而是单独以普惠金融指数作为数字经济的代理变量,对基准模型进行回归后的结果显示,普惠金融能显著抑制产业结构偏离均衡状态,带动产业结构合理化,并且对产业结构高度化也表现出了积极的带动作用,尽管这种积极影响在统计上不显著,但总体结论与基准结论一致,再次验证了基准结论的稳健性。
3.改变指标合成方法
为了避免因合成数字经济指数的方法不同给回归结果带来偏误,此处本文采用主成分分析法对数字经济指数重新合成,回归后的结果显示,数字经济依然能显著促进产业结构合理化,对产业结构高度化的积极影响不显著,与基准模型所得结论一致。④
4.缩尾处理(1%)
为了有效避免因离群值对回归结果产生影响,本文对所有变量进行1%双边缩尾后根据基准模型重新估计。回归结果显示,数字经济能显著促进产业结构合理化与产业结构高度化,与基准模型所得结论大体一致。⑤
上述一系列回归结果稳健地证实了数字经济能显著促进产业结构合理化,而对产业结构高度化的促进作用尚不显著的结论。此处,本文还需对数字经济影响产业结构转型升级的内部机制进行检验,进一步明确数字经济能否通过有效推动要素市场化改革,带动产业结构转型升级。
需要说明的是,目前涉及要素市场化程度测算的文献并不多,具有代表性的是卢现祥和王素素(2021)基于市场化配置程度、市场化运作程度以及市场准入程度三大子系统共计52个指标,利用熵值法测度的中国要素市场化配置程度,⑥但该指标体系包括了产业结构升级指标,此处不宜使用。鉴于此,本文采用王小鲁等(2017)“中国市场化指数”分项指标中的要素市场发育程度衡量各地区要素市场整体发展情况。①在该指数中:(1)人力资源供应条件包括技术人员、管理人员以及熟练工人的供应情况,本文用来表示劳动力市场化进程;(2)金融业的市场化包括金融业的竞争与信贷资金分配的市场化,本文用来反映资本市场化进程;(3)技术成果市场化表示技术市场化进程。②具体的回归结果见表4。可以发现,数字经济不仅显著推动了整体要素市场化进程,同时还显著带动了劳动力、资本以及技术的市场化发展进程,对促进劳动力、资本与技术等要素自由流动、合理配置以及高效使用带来了积极影响,最终显著带动了我国产业结构合理化。
表4 机制检验

然而,尽管数字经济显著促进了要素市场化发展,但其对产业结构高度化的促进作用在统计上缺乏显著性。对此,本文有必要对数字经济推动产业结构高度化的机制做进一步考察。在本文中,产业结构高度化是产值占比在“量”上的增加与产业效率在“质”上的提升的综合表现,这对产业结构转型升级的环境提出了更高的要求,即只有较高程度的要素市场化才能保证要素自由充分流动,才能确保资源的合理配置与高效使用,才有助于推动产业效率的提升,促进产业结构高度化。那么,数字经济对我国产业结构高度化的促进作用是否受到要素市场化发展程度的影响?是否在较高水平的要素市场化环境中,数字经济就会显著促进我国产业结构高度化呢?对此,本文根据要素市场发育程度、劳动力市场化、资本市场化,以及技术市场化的均值分别将总样本划分为高低两组,进行分组回归。③结果显示,在要素市场化发展程度高组,数字经济能显著促进产业结构高度化,充分证明了只有当要素市场化发展程度较高时,数字经济对产业结构高度化的积极带动作用才能较好地显现出来。基准模型中数字经济之所以未能显著推动产业结构高度化可能是因为当下我国要素市场化程度不高。
近年来,区域发展差异在南北方之间尤为突出,对此,本文在考察数字经济影响产业结构转型升级的区域异质性时也尝试从南北方视角展开。与传统的地理南北划分有所不同,本文借鉴盛来运等(2018)的处理方法,①从经济地理视角对南北区域进行划分。②同时,为了避免分组回归导致样本量减少给估计结果带来的偏误,本文分别以南方地区和北方地区虚拟变量同数字经济进行交互后回归,结果显示,③数字经济仅显著促进了南方地区产业结构合理化,对产业结构高度化不存在明显的区域差异。
表5 南-北区域异质性检验

2016年,G20杭州峰会以数字经济为重要议题通过的《G20数字经济发展与合作倡议》为世界经济创新发展注入了新动力,并向全球数字经济发展贡献了中国智慧。对此,本文以2016年G20峰会为时间节点,将总样本划分为2011—2015年和2016—2019年两个区间,并分别设置时间阶段虚拟变量与数字经济的交互项进行估计,结果显示,在G20峰会之前(2011—2015年),数字经济对我国产业结构合理化与产业结构高度化并不存在显著的促进作用,但在G20 峰会之后(2016-2019年),数字经济能显著促进产业结构合理化与高度化,进而推动产业结构转型升级。④
前文结论已经得出数字经济发展能通过加快要素市场化进程显著促进产业结构合理化,但由于当下我国要素市场化改革进程相对迟滞,一定程度上削弱了数字经济对产业结构高度化的积极影响的结论,考虑到本文所采用的数字经济发展指数是由数字经济基础(互联网宽带接入用户数)、数字经济应用(移动电话用户数)、数字经济发展(电信业务总量)与数字经济服务(数字从业人员占比)四个维度合成的指标,分维度考察其对产业结构转型升级的影响,有助于厘清数字经济各维度所产生的不同效果,对后期制定相关政策大有裨益。对此,本文从数字经济四个维度分别考察其对产业结构合理化与产业结构高度化的不同影响,根据回归结果可知,仅数字经济发展基础和应用水平显著促进了产业结构合理化,而数字经济产出水平和服务水平对产业结构合理化的积极影响在统计上不显著。⑤这说明互联网宽带与移动电话等数字基础设施的完善和数字技术的广泛应用,能有效带动资源合理流动和优化配置,对推动我国产业结构合理化产生了积极影响,但由于我国数字经济仍然处于发展初期,其产出水平和服务水平对产业结构合理化的带动作用尚不显著。总体而言,数字经济分维度指标对产业结构高度化的积极影响尚不显著,与基准模型所得结论一致。
以数字经济带动产业结构转型升级是高质量发展阶段的重要议题。本文基于2011—2019年我国281个地级市面板数据,从理论和实证两方面分析了数字经济对我国产业结构转型升级的影响及机制。研究发现:(1)数字经济能显著促进我国产业结构合理化,对产业结构高度化的积极影响在统计上尚不显著,该结论在经过内生性检验和一系列稳健性检验之后依然成立;(2)数字经济对产业结构转型升级的促进作用通过加快要素市场化作用实现。其中,数字经济促进产业结构高度化不显著的主要原因在于当下我国要素市场化改革进程相对滞后,而当要素市场化程度较高时,数字经济能显著促进产业结构高度化;(3)数字经济对产业结构转型升级的影响存在异质性。在区域异质性方面,数字经济仅显著促进了南方地区产业结构合理化,对产业结构高度化的影响均不显著;在时间异质性方面,在G20峰会之前,数字经济对产业结构转型升级无显著促进作用,而在G20峰会之后,其能显著促进产业结构合理化与高度化,有效推动产业结构转型升级;(4)进一步拓展研究发现,在数字经济指数的四个合成维度中,仅数字经济发展基础和应用水平对产业结构合理化具有显著促进作用,数字经济产出水平和服务水平对产业结构合理化的积极影响在统计上不显著,而对产业结构高度化均无显著影响。未来,我国应突破各种发展瓶颈,加快要素市场化改革进程,畅通数字经济推动产业结构转型升级的作用渠道,增强数字经济对产业结构转型升级的带动作用。为此,需要从如下几个方面发力:
首先,加速推动我国数字经济发展,激发数字经济对产业结构转型升级的积极影响。一要制定激励数字经济发展的政策,增强数字经济对产业发展的渗透能力;二要持续推进数字经济创新发展试验区建设,以点带面,协同带动我国数字经济整体向好发展;三要继续扩大数字技术在各行业的广泛应用,提升企业生产过程中对各类资源的配置和应用效率,强化数字经济对我国产业结构合理化与高度化的促进作用。
其次,加强数字经济基础设施建设,为实现数字经济各维度协同带动产业结构转型升级提供坚实的物质基础。一要积极打造云(云计算、大数据)、网(互联网、物联网)、端(智能终端、软件应用)等新型信息基础设施、融合基础设施和创新基础设施等,扩大数字技术应用范围,夯实数字经济发展基础;二要加快新型基础设施在研发、制造和管理等领域的应用,推动5G等一系列新型数字基础设施建设和相关产业发展;三要积极培育数字化新业态、新模式,以数字经济拓展经济发展新空间。
最后,突破数字经济发展瓶颈,释放数字经济对产业结构转型升级的均衡带动作用。一要加快推进要素市场化改革进程,充分发挥市场配置资源的决定性作用;二要发挥数字经济在资源配置过程中的低成本优势,优化资源配置结构,打破因市场分割带来的要素流动壁垒,发挥要素资源的潜在效能;三要加快形成以数字经济全面提升中国产业结构转型升级的新路径,不断缩小数字经济鸿沟,推进数字技术在不同地区之间、不同领域之间的广泛应用和深度融合。
© 2024 All rights reserved. 北京转创国际管理咨询有限公司 备案号: 京ICP备19055770号-4
Transverture International Group Co Ltd, Guangdong Branch
地址:广州市天河区天河北路179号尚层国际1601
深圳市福田区深南中路2066号华能大厦
佛山顺德区北滘工业大道云创空间
东莞市大朗镇富丽东路226号松湖世家
梅州市丰顺县留隍镇新兴路881号
长沙市芙蓉区韶山北路139号文化大厦

欢迎来到本网站,请问有什么可以帮您?
稍后再说 现在咨询