
中国企业国际化发展 财务创新全球化研究 商务创新与全球化 境外直接投资备案(ODI) 国际风险管理 网络安全与隐私保护 泛珠三角区域合作 转创全球科创智库 管理创新与全球化 海关监管
电子商务师 知识产权发展 价值共创 企业科创管理 创投俱乐部 全面质量管理 移动支付 私营经济 企业经营 商业模式创新 通商董事会馆 灯塔工厂 企业产品创新 客户与营销 商业规划 产品检测 金融科技 价值网络 企业创新管理 科技创新企业 精益创新 玩具产业孵化基地 餐饮美食 奶茶饮品
十四五规划专题 碳达峰中和计划 科技创新 现代服务业 全过程工程 环保技术 跨境电商合规转型 数字化转型 碳排放管理 供给侧改革 转创国际技术转移 数控工厂 专精特新企业 能源与电力 碳排放管理会计 全面绩效管理 应对气候变化 国有资产管理 制度智库 雏鹰企业 高新技术企业 进出口企业管理 盈利模式转型 瞪羚企业 绿色能源与碳核算 气候审计与鉴证 数字化监管
随着新一代信息技术的发展,以平台企业为基础、多主体共同参与的平台生态系统不断出现。系统各方主体间的价值创造和互动形式已经发生了较大转变,多主体间的价值共创行为成为促进系统持续发展的关键。数字经济贸易金融生态系统是贸易金融在数字经济时代新的展现方式,是由提供基础设施、技术平台等资源的贸易金融服务平台(以下简称贸金平台),提供金融产品及服务的金融机构,具有融资或贸易结算需求的企业等各主体方联结而成的共同体。各方在区块链等技术支持下进行主体互动和资源整合以实现价值共创,进而形成合作共赢的生态网络体系。其中,区块链是科技创新的新兴技术,以其去信任、去中心、信息真实共享、可追溯和安全可靠等特性,极大地提升了贸易金融生态系统工作的效率和安全性[1-2]。
探索数字经济贸易金融生态系统的价值共创机制是现阶段重要的研究机遇。目前该系统的价值创造内在机理尚不明晰,关于调节主体间关系、实现各方共赢与协同治理的有效治理机制和策略也缺乏相关的理论探析。因此,在新时代背景下进行数字经济贸易金融生态系统价值共创的演化博弈研究具有理论和实践价值。
创新点与研究贡献:(1)对数字经济贸易金融生态系统价值共创的内在机理进行深入分析;(2)将价值共创和价值共毁置于同一情境下实行全面考察,并进行动态演化分析;(3)在平台免费和收费两种情形下,对相关主体的博弈行为和演化稳定策略进行探讨,为系统的价值共创和协同治理提供参考建议。
价值共创是指参与主体凭借服务与资源整合进行价值创造的动态化过程。其思想起源于共同生产,随后顾客体验[3]和服务主导逻辑[4-6]成为探究热点。随着经济的进一步发展,学界的研究视野逐步从顾客和企业的二元交互转向多主体动态交互网络[7]。价值共创生态系统聚焦顾客需求和数字化技术,借助智能开放平台和网络系统进行价值共创[8]。平台生态系统是多主体的网络交互系统,在平台主导下相关方通过竞合交互和资源整合创造价值[9]。
平台生态系统价值共创的内在机理包含影响因素和过程机制,其中平台主体互动和资源整合作为价值共创的作用机制已经获得很多学者的认可。Gummesson 和Mele[10]指出价值共创包括主体互动和资源整合两部分,通过主体互动促进资源整合,并在资源、行动和过程匹配的情况下实现价值共创。相关研究表明主体互动是资源整合的先决条件,资源整合是指参与方通过主体互动将其资源链接以实现互利互惠的过程[11]。
平台与双边市场间凭借数字技术更易达成价值共创,进而推动平台的可持续发展[12]。贸金平台构建双边市场网络效应的实质是协同价值,是多主体间交互作用的成果。现有研究以理论性和综述性为主,大多聚焦相关概念讨论,其理论研究落后于企业相关发展实践,欠缺对平台生态系统价值共创内在机理的深入探析。
学界对价值共毁的相关探讨仍处于起步阶段,发现资源滥用是根源所在。Ple 和Caceres[13]指出价值共毁的内涵是在价值形成过程中,由于参与主体低效利用己方或他方资源以致至少一方价值下降的情形。简兆权等[7]认为在价值共创中可能存在不适当的价值共创活动或潜在的破坏性行为,如毁坏他者资源等。
价值共毁和价值共创都是主体创造价值的一种情形,其中价值共创实现了高水平的、令各方满意的价值产出,而价值共毁则反之[14]。但价值共毁并非单纯的价值共创对立面,它显现出价值创造的中性或负面结果。此外,两者间存在临界点,在一定条件下可实现相互转化 [15]。Luo 等[16]通过问卷调查发现客户间的积极互动有利于服务质量的价值共创,消极互动则会削弱客户对服务质量的感知。
现有文献大多只对价值共创或价值共毁中一方进行探究而未将两者置于同一情境下进行全面考察。同时相关研究大多从静态视野进行,尚欠缺动态演化过程分析。
完善的利益分配机制是平台生态系统实现价值共创的重点。Eisenmann 等[17]指出制定价格策略是平台系统治理的重要内容之一。张建军和赵启兰[18]认为合理的利益分配机制是平台价值获取和模式创新的关键。陈菊红等[19]指出服务生态系统的稳定发展需要恰当的收益分配机制来调和主体间关系,提升协同能力和整体价值创造效率。王昊等[20]发现价值共创不一定能显现出积极结果,核心行动者需借助可控的非人类利益相关者(制度、文化等)来确保系统价值共创的稳定产出。
近年来,相关学者开始关注系统随时间演变的价值共创行为。Ozcan 和Santos[21]在相关研究中指出平台生态系统中的竞合行为会受到系统发展阶段的影响,在发展初期太多的内部竞争会阻碍系统发展。Hannah 和Eisenhardt[22]对美国住宅太阳能行业的5 家公司进行了多案例探析,考察公司如何随时间推移来驾驭新生系统,研究结果表明系统可能存在多个发展瓶颈且其性质会随时间而转变。
贸易金融生态系统的构筑过程经历了孕育期、进化期、成熟期三个阶段,每个阶段面临不同的机遇与挑战,其盈利模式随之改变。在平台发展初期,尚不能确定采取何种盈利模式、未来能否持续盈利等,此时采取免费入驻和使用的策略较为明智。如此各参与方加入交易的边际成本较低,将有更高的参与热情。随着系统发展和内部成员不断增加,生态系统在面临外部系统间竞争的同时,还面临系统内部成员间矛盾加剧的风险。为此,系统需要采取措施来协调内部资源整合,平衡利益相关者间的关系,激励相关主体间的价值共创。在平台发展中后期,金融供需双方均需要更多的增值服务以满足其高质量的价值需求,提升产品服务竞争力,贸金平台也需要提高其服务水平,实现从数量扩增到质量提升,此时采取适当收取技术服务费的策略以推动系统整体的可持续发展是明智的选择。
贸易金融生态系统主体间互动行为的演化结果将实现价值共创还是价值共毁?其演化过程具体是怎样的?哪些关键因素影响了主体行为及其演化结果?应该如何平衡各方以避免价值共毁,从而实现价值共创,或使价值共毁向价值共创转化?目前鲜有学者对上述问题进行深入探索。鉴于此,本文将对系统价值共创的内在机理进行深入分析,构建价值共创演化博弈模型,对系统各方主体的博弈行为和演化稳定策略进行探讨,为系统协同治理提供相关参考建议。
将数字经济贸易金融生态系统进行简化建构,考虑最核心的贸金平台、金融需求方、金融供给方三方主体,如图1 所示。

图1 贸易金融生态系统价值共创机理模型
贸易金融生态系统运用区块链等底层技术在保障平台经济安全、互信、高效的基础上,支持并推动实现贸金平台生态系统整体的价值共创。在图1 中,贸金平台是核心倡导和积极推动者,发挥提供服务与监督的作用,在对平台信息进行全流程实时采集和监督的基础上,根据金融供需双方的策略选择进行补贴奖励或监督惩罚,以提升系统协同治理的工作效率和可持续发展。金融需求方是指交易中买卖双方有贸易融资、结算需求的各类中小企业。金融供给方是指为金融需求方提供产品服务、和其共同构成生态系统核心并维持系统稳定的各类金融机构,包括商业银行、保理商、小贷企业等,它们围绕金融需求方进行产品业务创新并提供资金融通服务。
三方主体基于贸金平台提供的基础设施及增值服务进行主体互动和资源融合以创造价值,在实现系统整体价值共创的同时满足自身的利益诉求。出于对自身福利的考虑,三方主体在进行价值创造时可能会采取不一致行为,如有一方或双方选择消极合作时将导致系统整体价值共毁的情形,从而影响整体利益目标的实现。因此数字经济贸易金融生态系统的价值共创与协同治理是各相关方彼此作用、博弈的演化结果。
假设1:博弈主体。只考察最核心的贸金平台、金融需求方、金融供给方三方主体且其均是有限理性的。
假设2:博弈策略。贸金平台作为系统主导和积极推动者,初期采取免费入驻和使用的策略,中后期采取适当收取技术服务费的策略以推动系统整体可持续发展。故考虑贸金平台的博弈策略空间为免费或收费。在博弈过程中,金融供需双方可能会积极、主动合作,最大程度投入自身的资源与能力,如积极提供知识信息、拓宽业务等以促成系统整体利益最大化;也可能进行不作为的消极合作,减少自身资源与能力的投入程度或擅用他者资源,采取投机行为以谋求自身利益最大化,致使价值共创效益降低、价值共毁乃至系统整体合作的破裂。故金融供需双方的博弈策略空间为积极合作或消极合作。
假设3:“积极合作”是一种共创型互动行为,“消极合作”是一种共毁型互动行为。当金融供需双方均选择“积极合作”策略时实现价值共创,当有一方或双方选择“消极合作”策略时将造成价值共毁。
假设4:策略选择概率。金融需求方选择积极合作的概率为X(0≤X≤1),选择消极合作的概率为1- X;金融供给方选择积极合作的概率为Y(0≤Y≤1),选择消极合作的概率为1- Y。
假设5:贸金平台相关参数符号及其含义。贸金平台对参与系统供需双方的收益按照一定比例收取费用,其费用比例系数记为β。当主体积极合作时,平台对供需双方的补贴分别为J2 和J1。当主体进行消极合作,不积极主动提供信息或故意隐瞒时,平台对供给方的监督惩罚为I。为鼓励中小需求方参与系统获得融资,对其只进行教育等非经济性监督。
假设6:金融需求方相关参数符号及其含义。需求方参与生态系统获得基础收益S0。当供需双方均积极合作时需求方可获得价值共创收益S1。当需求方积极合作而供给方消极合作时,需求方仍可运用资源和能力获得一定的额外收益S2。当需求方消极合作而供给方积极合作时,需求方能不付出额外成本而获得一定的投机收益S3,但由此会使平台和供给方对其信任减少以致声誉降低、长期利益受损,该额外损失记为P1。其中0<S3<S2<S1。
金融供给方相关参数符号及其含义进行类似的设定。具体见表1。
表1 相关参数符号及其含义

在贸金平台的服务和监督下,可得金融供需双方的4种博弈策略组合并构建收益矩阵,见表2。
表2 金融供需双方博弈收益矩阵

金融需求方选择“积极合作”策略的期望收益为:
金融需求方选择“消极合作”策略的期望收益为:
平均期望收益为:
由此得到金融需求方的复制动态方程:

同理可得金融供给方的复制动态方程:

根据最优解条件F(X)=0 和F(Y)=0 可得5 个局部均衡点,分别为D1(0,0),D2(1,0),D3(0,1),D4(1,1),D5(X*,Y*),其中:

相应的雅克比矩阵为:

雅克比矩阵J 的行列式和矩阵迹如表3。
对β=0 和0<β<1 两种情形进行探讨,分析不同情形下各均衡点的稳定性状况和演化稳定策略。Friedman[23]的理论指出,当De(J)>0,Tr(J)<0 时,系统达到ESS。
1.平台免费情形(β=0)
将β=0 代入表3 进行稳定性分析,具体见表4。根据分析得出如下推论:
表3 雅克比矩阵J 的行列式和矩阵迹

表4 平台免费情形下均衡点稳定性分析

推论1:当S1+J1>S3- P1,T1+J2>T3- P2- I 时,即当金融需求方积极合作所得的价值共创收益与补贴之和大于需求方消极合作所得的投机收益与额外损失之差,金融供给方积极合作所得的价值共创收益与补贴之和大于供给方消极合作所得的投机收益与额外损失、监督惩罚之差时,博弈存在演化稳定策略(1,1),即金融需求方和金融供给方均选择“积极合作”策略以进行价值共创(金融需求方积极合作,金融供给方积极合作),最终系统达到演化稳定状态。
2.平台收费情形(0<β<1)
由表3 进行分析,其中均衡点(1,0)需分情况讨论:
当T1- T3+P2- βT1+βT3+J2+I<0 时,De (J)>0,Tr(J)<0,(1,0)是ESS;当T1- T3+P2- βT1+βT3+J2+I>0 时,De(J)<0,Tr(J)不定,(1,0)是鞍点,具体如表5 所示。
表5 平台收费情形下均衡点稳定性分析

根据表5 得出如下推论:
推论2:当S2+J1>βS2,T1+J2<T3- βT3- P2- I 时,即当金融需求方积极合作所得的额外收益与贸金平台的补贴之和大于贸金平台对金融需求方收取的额外收益费用,金融供给方积极合作所得的价值共创收益与贸金平台的补贴之和小于供给方消极合作所得的投机收益与收益费用、额外损失、监督惩罚之差时,博弈存在演化稳定策略(1,0),即金融需求方选择“积极合作”策略,金融供给方选择“消极合作”策略(金融需求方积极合作,金融供给方消极合作),最终系统能达到演化稳定状态。
推论3:当S1- βS1+J1>S3- βS3- P1,T1- βT1+J2>T3- βT3-P2- I 时,即当金融需求方积极合作所得的价值共创收益与补贴之和减去贸金平台对其收取的收益费用大于需求方消极合作所得的投机收益与收益费用、额外损失之差,金融供给方积极合作所得的价值共创收益与补贴之和减去贸金平台对其收取的收益费用大于供给方消极合作所得的投机收益与收益费用、额外损失、监督惩罚之差时,博弈存在演化稳定策略(1,1),即金融需求方和金融供给方均选择“积极合作”策略以进行价值共创(金融需求方积极合作,金融供给方积极合作),最终系统能达到演化稳定状态。
推论4:对比β=0 和0<β<1 两种情形可知,贸金平台对金融供需双方收取的费用比例系数β 的取值变化会影响系统整体的稳定性和演化结果。当β=0 时,博弈只存在演化稳定策略(1,1);当0<β<1 时,博弈存在演化稳定策略(1,0)和(1,1)。
为了考察模型的特性和实用性,运用MATLAB 软件对模型进行不同参数情形下的数值仿真分析,验证相关参数变化对演化结果的影响,展现数字经济贸易金融生态系统价值共创行为协调机制的内在机理。
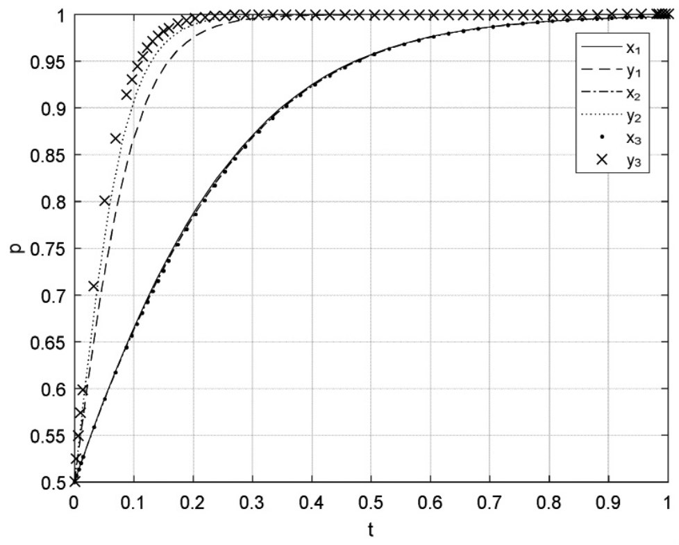
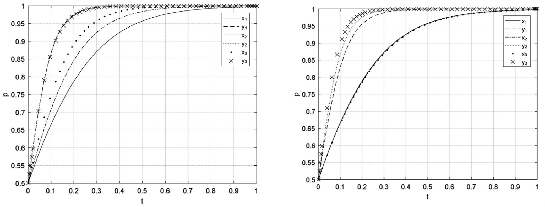
对各参数赋予初始值:J1=2,J2=6,I=2,β=0,S1=8,S2=7,S3=6,P1=2,T1=16,T2=15,T3=14,P2=6,(X,Y)=(0.5,0.5),行为初始状态随t 变化的演化进程见图2。
由图2 可知,当S1+J1>S3- P1,T1+J2>T3- P2- I 时,博弈存在演化稳定策略(1,1),即金融需求方和金融供给方均选择“积极合作”策略以进行价值共创,最终系统能达到演化稳定状态。验证了推论1。

图2 初始状态仿真结果(X=0.5,Y=0.5)
1. β=0、0.3、0.6
图3中x1 和y1 代表当β=0 时,贸金平台对参与系统的金融需求方和供给方收取的费用比例系数β 对其选择积极合作策略的影响作用。x2 和y2 代表β=0.3 的情况,x3和y3 代表β=0.6 的情况。由图3 左侧可知,当S1- βS1+J1>S3- βS3- P1,T1- βT1+J2>T3- βT3- P2- I 时,贸金平台对参与系统的金融需求方和金融供给方收取的费用比例系数β 对金融供需双方选择“积极合作”策略有一定的抑制作用,β 的取值越大,金融供需双方选择“积极合作”策略的概率越低。博弈存在演化稳定策略(1,1),即金融需求方和金融供给方均选择“积极合作”策略以进行价值共创,最终系统能达到演化稳定状态。验证了推论3。
调整金融供给方消极合作而需求方积极合作时金融供给方所得投机收益T3 的初始值使之满足S2+J1>βS2,T1+J2<T3- βT3- P2- I,即T3>30,此处取值T3=35,仿真结果为图3 右侧。由y1 可知,当S2+J1>βS2,T1+J2<T3-βT3- P2- I,时,博弈存在演化稳定策略(1,0),即金融需求方选择“积极合作”策略,金融供给方选择“消极合作”策略。当金融需求方选择积极合作而金融供给方选择消极合作进行投机活动时系统整体也能达到演化稳定状态(价值共毁)。此时平台应该提高对消极合作供给方的收益费用比例系数β 和监督惩罚I,使价值共毁向价值共创状态转化。验证了推论2。
比较图3 图形可知,贸金平台对金融供需双方收取的费用比例系数β 的取值变化会影响系统整体的稳定性和演化结果。当β=0 时,博弈只存在演化稳定策略(1,1);当0<β<1 时,博弈存在演化稳定策略(1,0)和(1,1)。验证了推论4。

图3 参数变化仿真结果(β=0、0.3、0.6,x 为需求方,y 为供给方)
2. I=2、6、10
由图4 中y1、y2、y3 可知,贸金平台对消极合作金融供给方的监督惩罚I 对金融供给方选择积极合作策略有促进作用,I 取值越大,金融供给方选择“积极合作”策略的概率越高。

图4 参数变化仿真结果(I=2、6、10)
3. J1=2、4、6,J2=3、6、9
由图5 可知,贸金平台对积极合作金融供需双方的补贴J1 和J2 对金融供需双方选择积极合作策略有促进作用。左侧图形中的x1、x2、x3 代表贸金平台对积极合作金融需求方的补贴J1 对需求方选择积极合作策略的影响作用;右侧图形中的y1、y2、y3 代表贸金平台对积极合作金融供给方的补贴J2 对供给方选择积极合作策略的影响作用。由此可见,相较于J2,J1 的作用更明显,即贸金平台对积极合作金融需求方的补贴J1 对金融需求方选择“积极合作”策略的促进作用更大。

图5 参数变化仿真结果(J1=2、4、6,J2=3、6、9)
本文重点探讨了数字经济贸易金融生态系统价值共创的内在机理,以及贸金平台、金融需求方和金融供给方之间的价值共创演化博弈。研究结果表明:(1)贸金平台对金融供需双方收取的费用比例系数对金融供需双方选择积极合作策略有一定的抑制作用;(2)在平台收费情形下,当投机活动收益超过一定界限值时,博弈存在演化稳定策略(1,0),系统整体也能达到演化稳定状态(价值共毁);(3)贸金平台对消极合作金融供给方的监督惩罚对金融供给方选择积极合作策略有促进作用;(4)贸金平台对积极合作金融供需双方的补贴对金融供需双方选择积极合作策略有促进作用。
对策建议:(1)贸金平台应强化金融科技手段和激励约束措施的运用。在不同发展时期采取不同的收费策略,构建完善互动合作和共享资源的机制,增强主体间积极合作,提升系统协同治理的工作效率。(2)贸金平台应丰富监督手段,健全监督惩罚机制。运用适当的调节手段(如收取消极合作金融供给方的违约金)来引导和规范主体活动,降低参与主体的投机倾向,推动系统整体价值共创的实现。(3)贸金平台应建立健全补贴激励机制。提供适当的物质与精神激励,提升主体的参与积极性和资源投入意愿。对较困难的小微金融需求方,鼓励施行阶段性的优惠利率和服务收费进行非经济性监督。
不足和未来研究方向:(1)本文只对系统进行了整体性考察,未来细化时可构建合理的利益分配机制,如设置恰当的价值共创收益/成本分配系数,将价值共创收益/成本在积极合作主体间进行高效分配以规避利益冲突;(2)只考虑了最核心的贸金平台、金融需求方、金融供给方三方主体,未来可拓展价值共创参与主体进行更多主体间的演化博弈探析;(3)对系统进行了简化建构,在条件假设、参数设定和赋值方面均有不足之处,未来在模型构建时可更全面地考察影响因素,在参数赋值方面取得更可信的实际数据。●
© 2024 All rights reserved. 北京转创国际管理咨询有限公司 备案号: 京ICP备19055770号-4
Transverture International Group Co Ltd, Guangdong Branch
地址:广州市天河区天河北路179号尚层国际1601
深圳市福田区深南中路2066号华能大厦
佛山顺德区北滘工业大道云创空间
东莞市大朗镇富丽东路226号松湖世家
梅州市丰顺县留隍镇新兴路881号
长沙市芙蓉区韶山北路139号文化大厦

欢迎来到本网站,请问有什么可以帮您?
稍后再说 现在咨询