
建筑工程管理 安全企业管理 制造企业管理 卫生企业管理 企业转型升级 工程企业管理 企业质量管理 医药企业管理 企业经济管理 食品企业管理 工业企业管理 软件企业管理 能源企业管理 汽车企业管理 环保企业管理
消防企业管理 转型升级 装配式建筑 并购重组动态 制造业转型升级 工业转型升级 教育转型升级 外贸转型升级 能源转型升级 地产转型升级 制造业转型与高质量发展 产业转型升级 绿色转型升级 服务业转型升级 产品质量管理 产业科技管理 环境监测
建筑信息模型(building information modeling,BIM)技术自2003年引入我国工程建设行业以来,被广泛应用于国内各重大型复杂的项目中,在场地分析、方案策划、可视化协同设计、施工模拟、数字化加工建造和灾害应急模拟等方面应用成效显著,从根本上改变了传统的工程建设和运营管理的工作方式,可以说BIM正引发一次史无前例的变革[1]。当前,我国建筑业信息化率仅约为0.027%,与国际建筑业0.3%的信息化水平差距很大,极低的信息化程度制约了建筑业生产效率的提高[2]。BIM技术可以提供给项目参与者一个信息共享和集成平台,以更好地进行技术实现和信息化整合,避免出现“信息断层”和“信息孤岛”现象。但BIM技术作为一种特殊的、具有共享属性的信息化技术,其相关模型和平台的构建和维护需要消耗大量的人力、物力和财力,因此BIM技术同样具有相应的产权价值。而我国现阶段对BIM技术产权价值的认知却相对有限,根据相关调查结果显示,国内建筑项目仅有1/3的BIM使用率和仅个别阶段的使用范围[3];在企业应用方面,接近半数(46%)的设计企业目前应用率低(在不到15%的项目中应用BIM),而施工企业中的这一比例不到1/3(31%)[4],这些都大大限制了BIM技术价值的充分发挥。此外,国内对BIM技术产权方面的研究极少,对BIM技术产权保护的意识还很薄弱,这些都阻碍了BIM技术应用决策与BIM技术产权转让领域的发展。对BIM技术产权的价值评估方法的研究,有利于提高企业BIM技术产权的保护意识并促进我国BIM技术产权应用的进一步推广及发展。
BIM技术来源于美国Charles Eastman博士于20世纪70年代提出的建筑计算机模拟系统(building description system),认为BIM是在建筑生命周期对相关数据和信息进行制作和管理的流程[5]。之后Laiserin[6]、美国国家建筑科学研究所[7]制定的国家BIM标准NBIMS及McGraw Hill Construction公司[8]分别对BIM进行了概念的定义。针对BIM的信息管理模式策略,李勇等[9]提出基于BIM技术的信息管理模式与传统信息管理模式比较图(如图1),认为基于BIM技术的信息管理模式将建设项目全生命期的全方位信息连续打通和无缝连接,实现了建筑信息的理想积累和高度协同,减少了信息的流失、消除了信息交流的障碍,进一步促进了建筑信息集成管理的发展。

图1 基于BIM 技术的信息管理模式与传统信息管理模式比较
之后,Chen等[10]和Ding等[11]提出,解决建设项目全生命期管理存在问题的关键点在于信息集成。罗岚等[12]在BIM全生命期视角的基础上进一步提出,通过构建BIM技术信息共享和信息集成平台,有利于建筑业信息化水平的提升。综上可知,国内外学者从BIM的概念定义直到BIM的信息化应用等方面,对BIM技术进行了不断深入的研究,但还大多停留在BIM技术信息化理论本身的研究上面,对建筑企业所面临的实际问题,如BIM技术产权所面临的侵权危险和BIM技术信息共享与保护的平衡等方面研究很少,而BIM技术产权本身价值的准确评估对于建筑企业的BIM应用和产权转让决策具有重要的参考作用。因此,本文以建筑企业为主体,从分析BIM技术特性的角度出发,以期有利于更准确地研究适用于BIM技术产权的价值评估方法,并对其产权保护提出科学、合理的建议。
BIM技术是以三维数字技术为基础,可以使项目参与各方在项目整个生命周期内参与并进行动态的模型和信息创建、管理和共享的信息模型集成技术。其不仅是一种全生命周期模型更新技术,更是一种全生命周期信息管理技术。本文认为,BIM技术同样可以解释为“building information managing”,其中“managing”可理解为对BIM项目的全生命周期的动态实时管理。BIM技术是一种共享信息模型集成管理技术,因此BIM技术产权可定义为:存在于具体项目全生命周期中,以BIM共享信息模型集成管理技术为核心载体的信息技术知识产权。
BIM技术产权是以BIM技术为核心载体的技术知识产权,其价值评估和产权保护的研究与BIM技术的特性息息相关。BIM技术具有以下几个方面的特性:
(1)开发的多次性。BIM技术作为建筑企业的专有技术,属于一项应用在具体项目全生命周期中的技术型无形资产,具有单一工程数据源,可解决分布式、异构工程数据之间的一致性和全局共享问题[13],因此,BIM技术在时间和空间两个维度上均具有开发的多次性(如图2)。在时间维度上,项目前期开发产生的信息模型在项目的全生命周期由技术人员的多次开发和更新不断得到完善;在空间维度上,项目不同阶段的不同合作方具有BIM二次开发的权利和义务,在项目各参与方的共同合作下BIM信息模型得到不断修正和改进,保证了BIM技术在项目不同阶段的效益获得和总体效益的最大化。

图2 BIM信息模型的协同开发
(2)开发的专有性和使用的非专有性。B IM技术是针对具体项目所开发的信息模型管理技术,不同项目因项目特征和复杂程度不同而需要不同的BIM技术,因此BIM技术具有开发的专有性。在使用方面,由于BIM技术是以数据信息形式在项目内部存在和流通的,且完整的信息模型由不同的、可复制的数据模块构建,信息模型中的通用数据模块可用于其他相似项目中,这样便可能造成对BIM技术成果的抄袭或剽窃问题,从而对BIM技术产权保护提出了要求。
(3)成本与效用的非弱对称性。关于技术型无形资产的成本与效用对称性问题,张娟[14]认为技术类知识产权的价值依靠对其使用而在未来产生的收益,与研发过程中所付出的成本没有必然联系。这是一般技术型无形资产的特性,即成本与效用的非弱对称性,因为一般技术型无形资产的研发风险很高,具有较大的探索性,并不是投入成本越大就能获得越高的效用。对于BIM技术而言,得益于其开发的专有性和开发的多次性,开发的风险较其他技术型无形资产较低,其成本与效用之间具有一定的对称性。
(4)价值补偿的特殊性。BIM技术在开发过程中由于开发的多次性、创造性及其本身价值的模糊性,使得BIM技术的价值补偿具有特殊性,BIM技术产权价值需要结合投入成本与产生的超额效益来进一步量化和评估。
(5)效益的时空差异性。BIM技术产生的效益在时间和空间两个维度上同样具有差异性。在时间维度上,BIM技术应用的效果在项目的不同阶段有所差异。正如MacLeamy提出的BIM曲线——项目决策时机的现实与理想(如图3),由曲线1和曲线2可知,项目前期较低的变更成本可以给项目投资带来更大的影响;通过曲线3和曲线4的对比可知,传统的工作流程未能合理利用项目前期的时间,而基于BIM技术的工作流程将项目变更和相关问题在项目施工之前解决完成,减少了项目后期的变更成本,提高了项目整体的利润和效率[15]。

图3 项目决策时机的现实与理想
在空间维度上,项目不同阶段的不同参与方在BIM效益获取方面具有差异性。为了说明其差异性,本文选择项目主要参与方中的设计方和施工方进行内部效益比较。从图4可以看出,从参与方内部效益获取角度来看,设计企业在“缩短用户审批周期”这一效益点占比最高,而施工企业在“提升企业形象”这一效益点占比最高;从参与方之间对比来看,与设计企业相比,获取每项效益的施工企业占比都更高,平均占比达53.4%,即施工方在BIM应用中获益更多。图4充分说明了设计方和施工方在BIM效益获取方面的差异性;同样的,项目不同阶段的不同参与方在BIM效益获取方面均具有差异性。

图4 建筑企业BIM内部效益比较
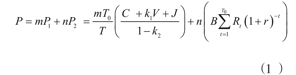
BIM技术产权作为一种信息技术产权,评估方法是其价值评估的核心,科学合理的价值评估模型可以得出更为准确的评估结果,有利于未来更理想的决策。根据BIM技术的相关特性,我们提出一种适用于BIM技术产权价值评估的方法:动态加权成本-效益法。动态加权成本-效益法是在改进传统价值评估方法的基础上,利用BIM技术成本与效益的非弱对称性和效益的时空差异性的特点提出的,适用于BIM技术产权价值评估的方法。该方法结合BIM技术产权形成价值过程中的成本与效益,并在计算时根据BIM技术的时空差异性来设置不同的权值,进一步强化了价值评估计量的精确度,提高了BIM技术产权价值评估方法的实用性和适用范围。计算公式如下:

式(1)中:P为BIM技术产权的评估值;P1为重置成本评估值;P2为未来预期效益评估值;T为BIM技术产权总使用年限;T0为BIM技术产权剩余使用年限;C为物化劳动消耗;V为活劳动消耗;k1为创造性劳动倍加系数;k2为BIM技术研究的平均风险系数,0< k2<1;J为机会成本;B为技术贡献率;t为BIM技术产权使用年份;r为折现率;Rt为第t年的预期净收入;m和n分别为重置成本值和未来预期效益值的加权权重,根据项目所处阶段和适用企业动态确定,且m+n=1。
(1)BIM技术产权总使用年限T和剩余使用年限T0的确定。对于T,由于BIM技术产权并无法定的使用年限,因此根据实际需要可采用技术寿命与经济寿命相比较,取较短者。BIM技术产权的技术寿命一般覆盖整个项目的寿命周期,且不同类型项目建设周期均不相同;而BIM技术产权的经济寿命则可根据技术进步和更新趋势作出综合性预测,一般情况下BIM技术产权经济寿命小于技术寿命。对于T0,则根据评估主体所处阶段和企业不同,由总使用年限扣除已使用年限即可。
(2)物化劳动消耗C与活劳动消耗V的确定。由于重置成本P1指在现时市场条件下重新创造BIM技术产权所耗费的全部货币性支出的总额,所以物化劳动消耗C与活劳动消耗V的计算可采用账面历史成本法,计算方法如下:重置成本=历史成本×自创造日至评估日的平均物价指数。其中,物化劳动消耗历史成本指BIM技术产权价值形成过程中对场地、设备仪器等生产资料的消耗,可通过对BIM技术投入过程中的设备购置和折旧、软件授权使用费、场地租赁费等进行计量。活劳动消耗历史成本指BIM技术产权价值形成过程中发挥作用的技术和管理人员的劳动力成本支出,可通过对相关技术开发和运营管理人员的工资及福利支出进行计量。最终,可参照各期的居民消费价格指数(consumer price index,CPI)计算出自创造日至评估日的平均物价指数,再分别乘以物化劳动消耗历史成本和活劳动消耗历史成本,即可得到物化劳动消耗C与活劳动消耗V的重置成本值。
(3)创造性劳动倍加系数k1和平均风险系数k2的确定。为了体现BIM技术开发过程中人员和项目间劳动复杂程度的差异以及BIM技术开发过程中的风险程度,需要采用创造性劳动倍加系数k1和平均风险系数k2进行修正。k1可参考劳动复杂系数(见表1)[16]、《工程勘察设计收费标准》中的工程复杂程度调整系数(见表2)和专业调整系数(见表3)[17],三者相乘即得到k1。BIM技术产权应用的风险主要包括技术风险、经营风险和市场风险等,可根据具体项目进行具体风险分析并通过模糊层次分析法求出平均风险系数k2。
表1 工程勘察设计工作的劳动复杂系数
表2 工程复杂程度调整系数

表3 工程勘察设计工作的专业调整系数(部分)
(4)机会成本J的确定。BIM技术产权的机会成本是指,BIM技术开发的成本支出部分用于其他项目管理方式中所能产生的最大收益。在实际操作中,可参考原企业的成本利润率来计算。机会成本J即为企业在不采用BIM技术时,按原有项目管理方式相同的成本所能产生的最大收益。
(5)第t年的预期净收入Rt的确定。在BIM技术产权价值发挥过程中,企业未来使用年限内的效益会逐步增加。实际应用中,由于产生的净利润额不易精确计算,故采用企业的主营业务净收入作为Rt的取值。对于预期净收入值的确定,则可以将本行业已采用BIM技术的相近规模的企业的年净收入作为参照进行综合测算。
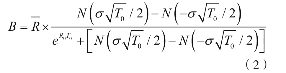
(6)技术贡献率B的确定。BIM技术产权技术贡献率是指,BIM技术作为一种技术无形资产进行投资时对投资所得所应分配的比例,一般可采用技术分成率法进行计量。目前无形资产评估中普遍接受的分成率法为“三分法”和“四分法”,但这两种方法属于定性方法,并不适合直接使用。由于BIM技术产权与专利技术产权在获利贡献方面方式相似,故本文参考王奇超[18]提出的Black-Scholes期权定价模型进行净收入技术分成率的测算,公式如下:

式(2)中:R为专业领域平均毛利率,也称为专业市场平均收益率,可参照相关统计年鉴或上市公司年报数据; ()N 为标准正态分布;σ为专业领域标准差平均值;T0为BIM技术产权剩余使用年限;R0为专业市场无风险利率,也称为专业市场无风险收益率,通常可用政府债券利率表示;其他参数含义同式(1)。
利用Black-Scholes期权定价模型测算技术分成率,充分考虑了信息不对称和潜在盈利能力等因素的影响,只需要有建筑行业中上市公司的公开年报数据作为参考,即可得出专业领域平均毛利率、专业领域标准差平均值、专业市场无风险利率3个指标,从而得出BIM技术产权技术贡献率。
(7)折现率r的确定。折现率指将未来效益折算成评估基准日现值的比率,体现了货币的时间价值和投资的机会成本,是加权成本-效益法的重要参数。由于BIM技术产权本身开发的时空差异性,其在不同的实施主体以及不同的时间段都将面临不同的风险水平。传统的折现率计算方法多是计算企业全部无形资产的综合折现率,而无法分离得出BIM技术产权本身的真实折现率,因此本模型中折现率r的确定需要考虑加上BIM技术特有风险收益率,即在企业综合风险收益率基础上乘以平均风险系数k2计算出BIM技术特有风险收益率加以修正,其中企业综合风险收益率可采用资产定价模型求得。故折现率r的计算方法如下:
式(3)中:rz为企业综合风险收益率;β为行业Beta系数,可从行业咨询机构报告获得;其他参数含义同式(2)。
(8)m和n的确定。由于BIM技术具有开发的多次性、效益的时空差异性以及成本与效用的非弱对称性,因此BIM技术产权价值需要结合投入成本与产生的超额效益设置不同的权重值m和n来计算评估值。m和n根据项目所处阶段和适用企业动态确定,可参考企业的BIM投资回报率进行计算。根据McGraw Hill Construction公司的网上调查表明,目前BIM平均投资回报率一般在11%~30%[19]。简化计算可得权重值m和n的取值范围分别为:0.77 < m < 0 .9,0.1 < n < 0 .23。例如:对于BIM应用获益更多的施工企业,可以将n值取大一点;对于设计企业等,则可以将m值取大一点。不同企业需根据本企业实际情况选择合适的权重值m和n。
国内某桥梁设计企业负责一个大型复杂桥梁项目的BIM设计任务,该项目采用BIM技术进行全寿命周期管理。已知在BIM技术设计阶段开发过程中,软件授权使用费和设备购置费共计500万元,8位硕士学历的开发人员工资支出共计80万元,技术开发过程中的机会成本为2 000万元,年预期净收入为20亿元,研发风险系数为0.3。由于业务调整,现需要对该企业部分的BIM技术产权价值进行评估,以便于更好地进行技术产权转让决策。以下为计算过程,由于篇幅限制,相关参数计算已简化。
(1)P1的求解。由案例可知,物化劳动消耗C=500万元,活劳动消耗V=80万元,机会成本J=2 000万元;根据建造要求,该桥梁项目的T0和T可分别取6年和8年;根据复杂桥梁项目属性,劳动复杂系数取9.45,工程复杂程度调整系数取1.15,专业调整系数取1.1,则创造性劳动倍加系数k1=9.45×1.15×1.1=11.95;平均风险系数k2=0.3。故,重置成本评估值为:

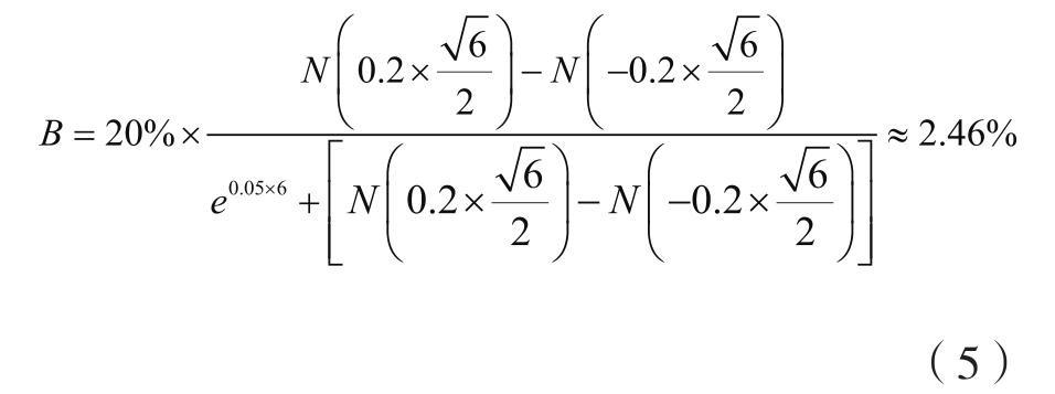
(2)P2的求解。由案例可知,年预期净收入Rt=200 000万元,设计专业领域平均毛利率R取20%;因不同年份的专业标准差平均值σ不一样,此处暂假设σ=0.2来说明本文所提方法的应用;专业市场无风险利率R0取5%。则技术贡献率计算式(5),结果满足目前我国收入分成率为0.5%~5%的取值范围。

(3)折现率r值的计算。行业Beta系数β暂按2015年行业参考数据取为1.15,则有:
因此,未来预期效益评估值为:

(4)综上,根据本企业实际将m取为0.85,n取为0.15,则该实证项目的BIM技术产权评估值为:

根据上述计算过程可知,加权成本-效益法是在充分考虑了BIM技术成本与效益的非弱对称性和效益的时空差异性的基础上,引入合理的且易于获取的计算参数,计算过程简单且易于操作。从计算结果可以发现,BIM技术产权的评估值比BIM技术前期开发成本高出近100%;后期该企业可以考虑根据评估值作出科学的产权转让决策。同时我们也可以发现,BIM技术产权的评估价值较高,是不能忽视的一部分企业价值。因此BIM技术产权价值的准确评估对于BIM技术产权的应用非常重要。
BIM技术解决了当前建筑业信息化协同的关键问题,促进了项目各阶段各专业模块的集成化管理,实现了建筑业全产业链上各参与方在各阶段的多维度沟通和交流,提高了整个建筑业的利润和效率。本文在充分分析BIM技术特性和改进传统技术产权评估方法的基础上,提出一种更为合理、实用的新方法:加权成本-效益法,以用于BIM技术产权的价值评估,且对该方法所需参数值的确定进行了进一步的探讨;之后,本文通过案例说明了BIM技术产权本身所具有的巨大价值,同时也证明了该方法评估BIM技术产权价值的有效性。该方法参数设置合理,计算较为简便,具有较强的实用性。值得一提的是,本方法中的权值数据还需要各企业根据自身实际的BIM技术应用情况加强投资回报率的精确测算来获取;此外,本方法中的参数需要不断更新并根据实际情况加以选取。在准确评估BIM技术产权价值的基础上,对BIM技术产权的保护也显得尤为重要,对此,本文建议从以下5个方面构建对BIM技术产权的保护体系:
(1)构建BIM技术信息共享与保护系统。根据BIM技术网络分布特性,在改进BIM技术的信息流模型的基础上,可以引入企业资源计划系统(ERP)和管理信息系统(MIS)组建项目全生命周期信息管理平台[20],同时增加安全保护机制以及合作和激励机制,构成全方位、多维度的BIM技术信息共享与保护系统,进一步提高项目全生命周期信息数据交互、集成和协同的效率。
(2)加强BIM软件加密技术改进。目前常用的BIM软件在复制、修改方面具有较大的随意性,这也就意味着在脱离系统保护的情况下,BIM信息数据同样面临抄袭和剽窃的危险。因此,为了更好地保护BIM技术产权,需要加强BIM软件加密技术的改进,如:增加复制和修改记录、限制复制和修改次数、限定软件查看设备地址等,以更好地保护脱离系统保护环境下的BIM技术产权。
(3)推行BIM技术产权保护法。住建部于2016年12月2日和2017年5月4日相继批准《建筑信息模型应用统一标准》和《建筑信息模型施工应用标准》为国家标准并加以实施,初步解决了BIM标准体系与标准缺失的问题,但与BIM相关的法律仍相对缺乏。可以尝试推行《BIM技术产权保护法》来有效保护BIM技术产权,具体内容包括:对侵权主体的认定、建立统一的侵权标准、对侵权行为的惩罚制订等。相信随着BIM标准与BIM产权保护法的制定和不断完善,BIM技术的优势和价值会得到更好地实现。
(4)建立规范的BIM资源共享平台。网络知识时代的到来促进了信息资源的传播,孕育而生的是诸多形式的知识资源获取平台。目前BIM资源平台已经越来越多,如筑龙BIM网、中国BIM门户网等都属于注册用户众多的平台。然而,与不断增加的平台数不相称的是规范化的BIM资源共享平台缺乏,现有的BIM资源平台之间缺乏统一的BIM资源管理标准和资源共享协议标准,且集成化程度较低,不利于BIM资源共享效率的提升。因此,需要由相关主管部门牵头建立统一规范的BIM资源共享平台,这样既加强了BIM资源共享的集成化管理,提高了BIM资源共享效率,同时又有利于行业人员BIM技术产权保护意识的提高和对BIM技术产权保护法的宣传。
(5)加强BIM技术产权价值评估与保护研究。目前国内学者对BIM技术的研究主要集中在BIM的工程应用方面,对BIM技术的产权价值评估和产权保护方面的研究较少。随着建筑业信息化程度的不断提高和BIM技术应用的深入发展,BIM技术的产权价值评估和产权保护方面的研究将逐渐成为BIM技术研究的趋势。
© 2024 All rights reserved. 北京转创国际管理咨询有限公司 备案号: 京ICP备19055770号-4
Transverture International Group Co Ltd, Guangdong Branch
地址:广州市天河区天河北路179号尚层国际1601
深圳市福田区深南中路2066号华能大厦
佛山顺德区北滘工业大道云创空间
东莞市大朗镇富丽东路226号松湖世家
梅州市丰顺县留隍镇新兴路881号
长沙市芙蓉区韶山北路139号文化大厦

欢迎来到本网站,请问有什么可以帮您?
稍后再说 现在咨询